【药物名称】Ontazolast, BIRM-270, BI-RM-270
化学结构式(Chemical Structure):
参考文献No.562908
标题:Optimization and scale-up of an asymetric route to the LTB4 inhibitor ontazolast
作者:Roth, G.P.; et al.
来源:Org Process Res Dev 1997,1(5),331
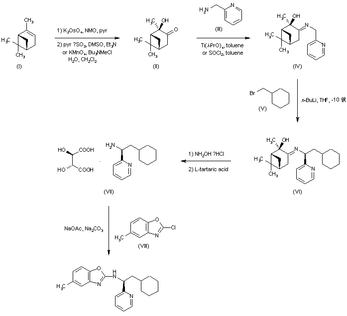
合成路线图解说明:

The required chiral auxiliary hydroxyketone (II) was prepared from (S)-alpha-pinene (I) either by dihydroxylation with K2OsO4 and NMO, followed by Swern oxidation of the secondary alcohol, or by direct oxidation using KMnO4 under phase-transfer conditions. Condensation of (II) with 2-(aminomethyl)pyridine (III) in the presence of titanium isopropoxide or thionyl chloride as the dehydrating reagents provided the chiral imine (IV), which was estereoselectively alkylated with cyclohexylmethyl bromide (V) and n-BuLi, yielding (VI). Cleavage of the chiral auxiliary of (VI) was carried out by treatment with hydroxylamine hydrochloride. Enantiomeric enrichment of the resulting (S)-pyridylamine was achieved by recrystallization of the corresponding L-tartrate salt (VII). Finally, the amine was condensed with chlorobenzoxazole (VIII) in the presence of NaOAc and Na2CO3 in refluxing methylcyclohexane.

Drug Information Express,Drug R&D,Chemical Database,Patent Search.
Copyright © 2006-2026 Drug Future. All rights reserved.Contact Us