【药物名称】FR-901483, WF-11231A.HCl
化学结构式(Chemical Structure):
参考文献No.547384
标题:Total synthesis of (-)-FR901483
作者:Snider, B.B.; et al.
来源:J Am Chem Soc 1999,121(34),7778
合成路线图解说明:

The methylation of N-(tert-butoxycarbonyl)-L-tyrosine methyl ester (I) with methyl iodide and KOH gives the protected 4-O-methyl-L-tyrosine methyl ester (II), which is deprotected with TFA yielding (III). The Grundke oxidation of (III) affords the N-hydroxy derivative (IV), which is cyclocondensed with cyclohexane-1,4-dione monoethylene ketal (V) and ethyl acrylate (VI) in refluxing toluene to afford the spiroisoxazolidinone (VII). The reductive rearrangement of (VII) with H2 over Pd/C in acetic acid provides the spiropyrrolidinone (VIII), which is treated successively with tosyl chloride and with sodium azide to obtain the azido derivative (IX). The reduction of (IX) with H2 over Pd/C, protection of the resulting amine with Boc2O, and methylation of the resulting carbamate with NaH and methyl iodide affords the N-methylcarbamate (X). The reduction of the methoxycarbonyl group of (X) with LiBH4 in THF gives the carbinol (XI), which is oxidized with Dess-Martin periodinane to the aldehyde (XII). The rearrangement of (XII) by means of potassium tert-butoxide, followed by deprotection of the carbamate group yields the 7,10a-methanopyrrolo[1,2-a]azocin-8-one derivative (XIII), which is reduced at the carbonyl group with LiAlH4 in THF affords the 8(R)-hydroxy derivative (XIV). The protection of the amino group of (XIV) with benzyloxycarbonyl chloride and triethylamine yields the carbamate (XV).

合成路线图解说明:

The sulfonation of the 8(R)-hydroxy group of (XV) with 4-nitrophenylsulfonyl chloride, Et3N and DMAP provides the sulfonate (XVI), which is treated with Tes-OTf and Et3N in dichloromethane to protect the 6-hydroxy group yielding the silyl ether (XVII). The reaction of (XVII) with Cs-OAc and 18-crown-6 in hot benzene gives the 8(S)-acetoxy derivative (XVIII) with inversion of the configuration at the C(8). The reaction of (XVIII) with K2CO3 in methanol gives the corresponding 8(S)-hydroxy compound (XIX), which is treated with diisopropylaminophosphinic acid dibenzyl ester (XX) and tetrazole, and oxidized with tert-butyl hydroperoxide yielding the dibenzyl phosphate ester (XXI). The desilylation of (XXI) with tetrabutylammonium fluoride (TBAF) in THF affords the benzyl protected intermediate (XXII), which is finally debenzylated with H2 over Pd/C in methanol.

参考文献No.604383
标题:An enantiospecific synthesis of the potent immunosuppressant FR901483
作者:Scheffler, G.; et al.
来源:Angew Chem. Int Ed Engl 2000,39(24),4593
合成路线图解说明:

The condensation of protected tyrosinaldehyde (I) with 4-O-methyltyrosine methyl ester (II) by means of NaBH(OAc)3 gives the adduct (III), which is cyclized by means of Ph-I(OAc)2 to yield the spiro compound (IV). The 4-nitrophenylsulfonyl protecting group is eliminated with NaS-Ph in DMSO and substituted by Boc by means of Boc2O and pyridine to afford spiro compound (V). The reduction of the carbonyl and double bonds of (V) with H2 over Raney-Ni in ethanol/ethyl acetate provides the spirocyclohexanol derivative (VI), which is further reduced at the ester group by means of LiAlH4 in THF to give the carbinol (VII). The oxidation of (VII) with oxalyl chloride in DMSO/dichloromethane yields the keto aldehyde (VIII), which is cyclized by means of NaOMe in methanol to afford the tricyclic hydroxyketone (IX). The reduction of (IX) with H2 over Raney-Ni in ethanol/ethyl acetate affords the diol (X), which is selectively esterified with dibenzyl hydrogen phosphate (XI), DIAD, TEA and tris(4-chlorophenyl)phosphine in toluene to provide the phosphoric triester (XII). Finally, this compound is debenzylated with H2 over Pd/C in methanol and N-deprotected by means of HCl in dioxane to furnish the target FR-901483.

参考文献No.623947
标题:Total synthesis of the immunosuppressant FR901483 via an amidoacrolein cycloaddition
作者:Maeng, J.-H.; Funk, R.L.
来源:Org Lett 2001,3(8),1125
合成路线图解说明:

The condensation of 2,2-dimethyl-1,3-dioxan-5-one (I) with aminoacetaldehyde dimethyl acetal (II) followed by acetylation with Ac2O/Et3N afforded the amido dioxin (III). Retro Diels-Alder reaction of dioxin (III) in warm benzonitrile generated the amidoacrolein (V), which was trapped in situ with the silyloxydiene (IV) to yield the cycloadduct (VI). Aldol cyclization between the acetamide and aldehyde functionalities of (VI) in the presence of t-BuOK produced the spiro lactam (VII). Subsequent aldol condensation between the acetal and silyl enolate functions of (VII) under acidic conditions furnished the tricyclic hydroxy ketone (VIII). Reduction of the keto group of (VIII) with NaBH(OAc)3 produced the C-4 axial alcohol (IX). Silylation of both hydroxyl groups of (IX) followed by selective cleavage of the C-2 silyl ether provided the C-4 mono silylated derivative (X). The free C-2 hydroxyl group of (X) was then oxidized to the corresponding ketone (XI) under Swern conditions. The potassium enolate of (XI) was stereoselectively alkylated with p-methoxybenzyl bromide (XII) to yield (XIII). Reduction of the keto group of (XIII) with Red-Al gave rise to the alcohol (XIV) in the undesired equatorial configuration. Inversion of the C-2 stereogenic center of (XIV) was achieved via formation of the sulfonate ester (XVI) with 4-nitrobenzenesulfonyl chloride (XV).

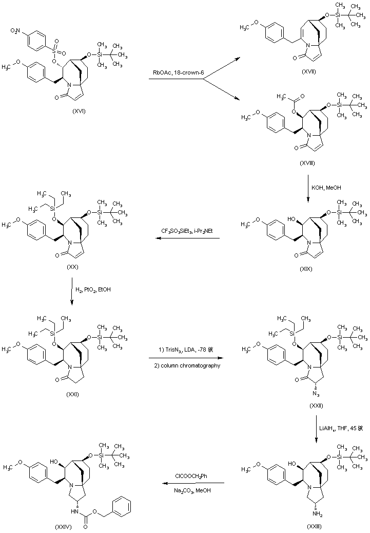
合成路线图解说明:

Displacement of the nosylate group of (XVI) with rubidium acetate in the presence of crown ether furnished the desired acetate ester (XVIII) accompanied by the elimination byproduct (XVII). Alcohol (XIX), obtained by basic hydrolysis of the acetate ester (XVIII), was protected as the silyl ether (XX) using triethylsilyl triflate. Hydrogenation of the lactam double bond of (XX) over PtO2 gave the saturated lactam (XXI). The azido group was introduced by reaction of the lithium enolate of lactam (XXI) with trisyl azide to afford a diastereomeric mixture from which the desired azide (XXII) was isolated by column chromatography. Simultaneous reduction of the lactam and azide functional groups of (XXII) with concomitant removal of the triethylsilyl protecting group was accomplished by treatment of (XXII) with LiAlH4. The resulting amine (XXIII) was then acylated with benzyl chloroformate to give carbamate (XXIV).

合成路线图解说明:

Methylation of the carbamate nitrogen atom of (XXIV) by means of iodomethane and NaH produced (XXV). Subsequent cleavage of the silyl ether group of (XXV) with HF gave diol (XXVI). The selective phosphitylation of the C-4 hydroxyl group of (XXVI), followed by oxidation of the resulting phosphite ester (XXVII) with m-chloroperbenzoic acid in the presence of Et3N, furnished phosphate (XXVIII). Finally, hydrogenolysis of the dibenzyl phosphate and benzyl carbamate functionalities of (XXVIII) provided the title compound, which was isolated as the hydrochloride salt.

合成路线图解说明:

The condensation of acetonide (I) with 2-aminoacetaldehyde dimethylacetal (II) by means of Ac2O and TEA gives the acetylated enamine (III), which is cyclocondensed with the silylated butadiene (IV) in hot benzonitrile to yield the cycloadduct (V). The cyclization of (V) by means of tBu-OK in ethyl acetate/THF, followed by desilylation with TFA, affords the tricyclic lactam (VI), which is reduced with NaBH(OAc)3 to provide the dihydroxy compound (VII). The silylation of both OH groups of (VII) by means of Tbdms-Cl, followed by selective desilylation of the equatorial silyl ether with TBAF, gives the corresponding alcohol (VIII), which is submitted to a Swern oxidation to yield the ketone (IX). The condensation of (IX) with 4-methoxybenzyl bromide (X) by means of tBu-OK and Red-Al affords the hydroxylated adduct (XI); however, the resulting alcohol presents an unnatural equatorial configuration that is inverted by its esterification with 4-nitrophenylsulfonyl chloride to furnish (XII), followed by acetoxylation of (XII) with rubidium acetate and 18-crown-6, to provide the desired axial acetoxy compound (XIII). The hydrolysis of (XIII) with KOH in methanol gives the corresponding alcohol (XIV), which is silylated with Tes-Otf to yield the bis silyl ether (XV). The reduction of the double bond of (XV) with H2 over PtO2 affords the saturated compound (XVI), which is treated with triethylsilylazide and LDA to provide at the azido compound (XVII). The reduction of lactam and azido groups by means of LiAlH4, followed by protection of the resulting amino group with benzyloxycarbonyl chloride and Na2CO3, gives the benzyl carbamate (XVIII).

合成路线图解说明:

The methylation of the carbamate NH group of (XVIII) with Me-I and NaH in DMF gives the corresponding N-methyl derivative (XIX), which is desilylated by means of HF in acetonitrile to yield the axial alcohol (XX). The selective esterification of (XX) with (BnO)2P-N(iPr)2 (XXI), followed by oxidation with MCPBA and TEA, affords the dibenzyl hydrogen phosphate (XXII), which is finally deprotected by hydrogenation with H2 over Pd/C in ethanol to furnish the target FR-901483.

Drug Information Express,Drug R&D,Chemical Database,Patent Search.
Copyright © 2006-2026 Drug Future. All rights reserved.Contact Us