【药物名称】Nicanartine, MRZ-3/124
化学结构式(Chemical Structure):
参考文献No.21329
标题:New BHT ether cpds. and their use as hypolipidemic and antiatherosclerotic drugs
作者:Gold, M.R.; Jarglis, P.; Junglas, H.; Leimner, J.H.; Peteri, D.; Quack, G.P.; Strohmeier, J.; W黮froth, P.M. (Merz & Co. GmbH)
来源:EP 0619807; JP 1995502271; US 5254549; WO 9312089
合成路线图解说明:

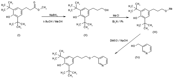
Nicanartine is readily accessible by a direct ether coupling reaction of 3-(hydroxymethyl)pyridine (IV) with 3-(3,5-di-tert-butyl-4-hydroxyphenyl)propyl mesylate (III) under classical Williams-type reaction conditions. 3-(3,5-Di-tert-butyl-4-hydroxyphenyl)propyl mesylate (III) in turn is prepared in good yields by a straightforward two-step reaction sequence (reduction, mesylation), starting from the commercially available antioxidant methyl 3-(3,5-di-tert-butyl-4-hydroxyphenyl)propanoate (I) (Ionox 520(TM)).

参考文献No.300784
标题:Nicanartine
作者:W黮froth, P.
来源:Drugs Fut 1995,20(6),572
合成路线图解说明:

Nicanartine is readily accessible by a direct ether coupling reaction of 3-(hydroxymethyl)pyridine (IV) with 3-(3,5-di-tert-butyl-4-hydroxyphenyl)propyl mesylate (III) under classical Williams-type reaction conditions. 3-(3,5-Di-tert-butyl-4-hydroxyphenyl)propyl mesylate (III) in turn is prepared in good yields by a straightforward two-step reaction sequence (reduction, mesylation), starting from the commercially available antioxidant methyl 3-(3,5-di-tert-butyl-4-hydroxyphenyl)propanoate (I) (Ionox 520(TM)).

Drug Information Express,Drug R&D,Chemical Database,Patent Search.
Copyright © 2006-2026 Drug Future. All rights reserved.Contact Us