【药物名称】Terbogrel, BIBV-308-SE, BIBV-308
化学结构式(Chemical Structure):
参考文献No.537450
标题:Guanidine derivatives as combined thromboxane A2 receptor antagonists and synthase inhibitors
作者:Soyka, R.; Guth, B.D.; Weisenberger, H.M.; Luger, P.; Muller, T.H.
来源:J Med Chem 1999,42(7),1235
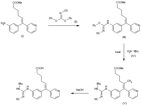
合成路线图解说明:

The reaction of (E)-6-(3-aminophenyl)-6-(3-pyridyl)-5-hexenoic acid methyl ester (I) with diphenyl N-cyanocarbinimidate (II) in isopropanol gives the N-cyanoisourea (III), which is condensed with tert-butylamine (IV) in refluxing isopropanol yielding the guanidine derivative (IV). Finally, hydrolysis of the ester group of (IV) with NaOH affords the target compound.

Drug Information Express,Drug R&D,Chemical Database,Patent Search.
Copyright © 2006-2026 Drug Future. All rights reserved.Contact Us