【药物名称】Aciclovir elaidate, P-4010
化学结构式(Chemical Structure):
参考文献No.20720
标题:Chemical cpds.
作者:Dalen, A.; Myhren, F.; B鴕retzen, B.; Stokke, K.T. (Norsk Hydro AS)
来源:GB 2260319; WO 9307163
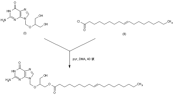
合成路线图解说明:

The compound was prepared by condensation of acyclovir (I) with elaidic acid chloride (II) in the presence of pyridine.

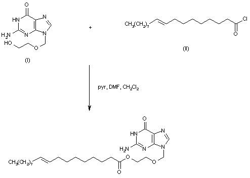
合成路线图解说明:

The title compound was prepared by condensation of ganciclovir (I) with elaidic acid chloride (II) in the presence of pyridine.

Drug Information Express,Drug R&D,Chemical Database,Patent Search.
Copyright © 2006-2026 Drug Future. All rights reserved.Contact Us