【药物名称】Galarubicin hydrochloride, DA-125
化学结构式(Chemical Structure):
参考文献No.101015
标题:Syntheses and antitumor activities of 7-O-(2,6-dideoxy-2-fluoro-alpha-L-talopyranosyl)-daunomycinone and adriamycinone
作者:Tsuchiya, T.; Takagi, Y.; Oka, K.D.; Umezawa, S.; Takeuchi, T.; Wako, N.; Umezawa, H.
来源:J Antibiot 1986,39(11),731-3
合成路线图解说明:

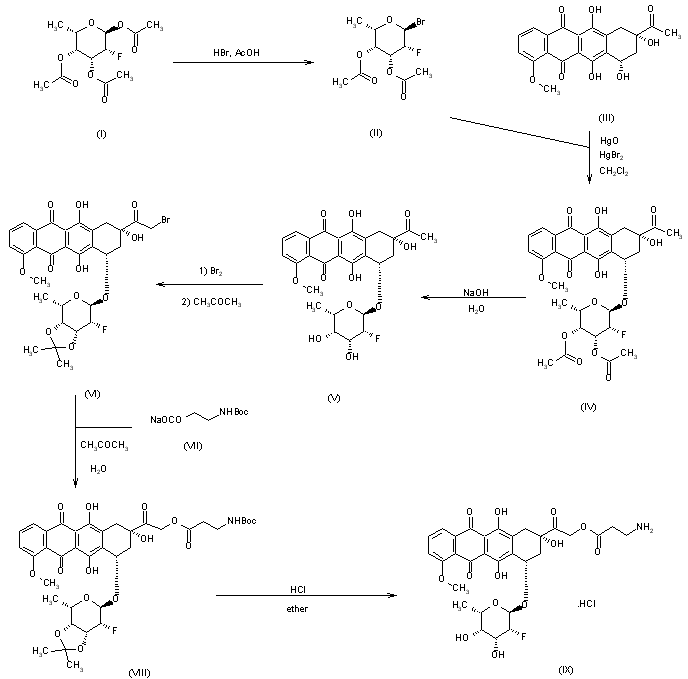
Coupling of daunomycinone (III) with 3,4-di-O-acetyl-2,6-dideoxy-2-fluoro-alpha-L-talopyranosyl bromide (II), which was obtained from 1,3,4-tri-O-acetyl-derivative (I), was performed by a Koenings-Knorr type of reaction to obtain the daunomycin derivative (IV). Deprotection of (IV) with sodium hydroxide in water gave corresponding derivative (V), which was subsequently treated with bromine in dichloromethane and acetone to afford the bromo derivative (VI). Condensation of (VI) with N-Boc-beta-alanine sodium salt (VII) in acetone/water gave the protected beta-alaninate derivative (VIII), which was finally treated with hydrochloride in ether to obtain DA-125.

参考文献No.366881
标题:DA-125
作者:Lee, M.G.; Yang, J.
来源:Drugs Fut 1996,21(8),782
合成路线图解说明:

Coupling of daunomycinone (III) with 3,4-di-O-acetyl-2,6-dideoxy-2-fluoro-alpha-L-talopyranosyl bromide (II), which was obtained from 1,3,4-tri-O-acetyl-derivative (I), was performed by a Koenings-Knorr type of reaction to obtain the daunomycin derivative (IV). Deprotection of (IV) with sodium hydroxide in water gave corresponding derivative (V), which was subsequently treated with bromine in dichloromethane and acetone to afford the bromo derivative (VI). Condensation of (VI) with N-Boc-beta-alanine sodium salt (VII) in acetone/water gave the protected beta-alaninate derivative (VIII), which was finally treated with hydrochloride in ether to obtain DA-125.

参考文献No.900011
标题:L-Talopyranoside derivs. and process for the preparation of same
作者:Ok, D.K.; Kim, M.S.; Jung, D.Y. (Dong-A Pharmaceutical Co., Ltd.)
来源:US 5374746
合成路线图解说明:

Coupling of daunomycinone (III) with 3,4-di-O-acetyl-2,6-dideoxy-2-fluoro-alpha-L-talopyranosyl bromide (II), which was obtained from 1,3,4-tri-O-acetyl-derivative (I), was performed by a Koenings-Knorr type of reaction to obtain the daunomycin derivative (IV). Deprotection of (IV) with sodium hydroxide in water gave corresponding derivative (V), which was subsequently treated with bromine in dichloromethane and acetone to afford the bromo derivative (VI). Condensation of (VI) with N-Boc-beta-alanine sodium salt (VII) in acetone/water gave the protected beta-alaninate derivative (VIII), which was finally treated with hydrochloride in ether to obtain DA-125.

Drug Information Express,Drug R&D,Chemical Database,Patent Search.
Copyright © 2006-2026 Drug Future. All rights reserved.Contact Us