【药物名称】E-3174, EXP-3174
化学结构式(Chemical Structure):
参考文献No.136586
标题:DuP 753
作者:Duncia, J.V.; Carini, D.J.; Chiu, A.T.; Pierce, M.E.; Price, W.A.; Smith, R.D.; Wells, G.J.; Wong, P.C.; Wexler, R.R.; Johnson, A.L.; Timmermans, P.B.M.W.M.
来源:Drugs Fut 1991,16(4),305
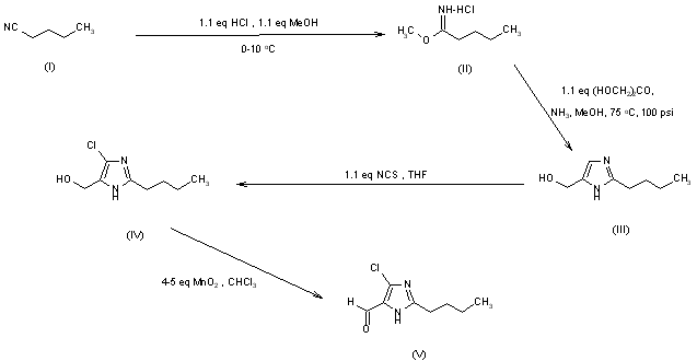
合成路线图解说明:

Synthesis of imidazole (V) first entails the conversion of valeronitrile (I) to its imidate ester (II). Subsequent reaction with 1,3-dihydroxyacetone dimer and ammonia leads to imidazole (III). Chlorination with N-chlorosuccinimide yields the 4-chloroimidazole (IV). Oxidation with manganese dioxide finally yields imidazole-5-carboxaldehyde (V).

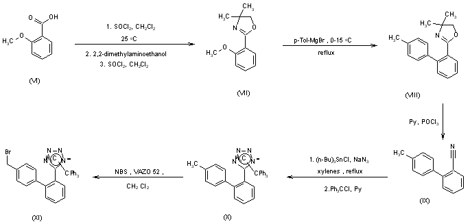
合成路线图解说明:

The synthesis of the biphenyl tail involves first the conversion of 2-methoxybenzoic acid (VI) into oxazoline (VII), followed by displacement of the methoxy group by 4-tolylmagnesium bromide to yield biphenyloxazoline (VIII). Oxazoline (VIII) may be converted into biphenylnitrile (IX) by reaction with phosphorous oxychloride in pyridine. Reaction of biphenylnitrile (VIII) with tri-n-butyltin azide in refluxing xylenes, followed by destannylation and protection with a triphenylmethyl group, yields triphenylmethyl-protected biphenyltetrazole (X). Benzylic bromination yields the completed tail (XI)

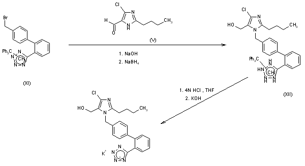
合成路线图解说明:

The compound is assembled by connecting the imidazole head (V) to the biphenyltetrazole tail (XI). The aldehyde (V) undergoes regioselective alkylation with bromide (XI). Subsequent reduction of the aldehyde group in the same pot yields adduct (XII). Deprotection in acid, followed by conversion to the potassium salt, yields DuP-753.

合成路线图解说明:

EXP3174 is obtained from DuP 753 (Entry Number: 162288).

Drug Information Express,Drug R&D,Chemical Database,Patent Search.
Copyright © 2006-2026 Drug Future. All rights reserved.Contact Us