【药物名称】Anecortave acetate, AL-3789, Retaane
化学结构式(Chemical Structure):
参考文献No.8073
标题:9-alpha-Hydroxy steroids and process for their preparation
作者:Batist, J.N.M.; Marx, A.F.; Van Zoest, W.J.; Kapur, J.C. (Gist-Brocades NV)
来源:EP 0263569; JP 1989500907; WO 8802753
合成路线图解说明:

Androstenedione (II) was converted to the C-17 cyanohydrin (III) by treatment with either KCN and AcOH or with acetone cyanohydrin and NaOH. Ketalization of the remaining 3-keto group with ethylene glycol and trimethyl orthoformate led to (IV). The C-17 hydroxyl was then protected by formation of the acetaldehyde mixed ketal (V) by treatment with butyl vinyl ether. Addition of methyllithium to the cyano group, followed by acidic ketal hydrolysis furnished the pregnenedione (VI). Subsequent iodination of (VI) by means of iodine and calcium oxide gave iodo ketone (VII), which was further displaced by potassium acetate yielding the C-21 acetate ester (VIII). Finally, dehydration of the C-17 alcohol employing 70% aqueous sulfuric acid produced the title compound.

参考文献No.58257
标题:Process for preparing useful 17alpha-hydroxy-20-keto-21-acyloxy pregnanes
作者:Crabbe, P.; Biollaz, M.S. (Syntex (USA) LLC)
来源:US 3658856
合成路线图解说明:

The title compound was prepared by dehydration of 11-hydroxyl group of hydrocortisone acetate (I) by means of methanesulfonyl chloride and pyridine in hot DMF. Dehydration of (I) has also been reported by treatment with N,N'-sulfinyldiimidazole, prepared from imidazole and thionyl chloride.

参考文献No.58258
标题:Process for preparing 17alpha-hydroxy-20-keto and 17alpha,21-dihydroxy-20-keto pregnanes and derivs. and intermediates thereof
作者:Crabbe, P.; Velarde, E. (Syntex (USA) LLC)
来源:US 3681410
合成路线图解说明:

The title compound was prepared by dehydration of 11-hydroxyl group of hydrocortisone acetate (I) by means of methanesulfonyl chloride and pyridine in hot DMF. Dehydration of (I) has also been reported by treatment with N,N'-sulfinyldiimidazole, prepared from imidazole and thionyl chloride.

参考文献No.58259
标题:Process for the preparation of 17alpha-hydroxyprogesterones and corticoids from androstenes
作者:Shephard, K.P.; Van Rheenen, V.H. (Pharmacia Corp.)
来源:US 4041055
合成路线图解说明:

Reaction of 9a-hydroxyandrost-4-ene-3,17-dione (I) with benzenesulfinyl chloride and pyridine gives the corresponding sulfinate (II), which by treatment with TsOH in refluxing chloroform yields androsta-4,9(11)-diene-3,17-dione (III). Reaction of the androstadienedione (III) with acetylene by means of potassium tert-butoxide in THF affords the 17a-ethynyl derivative (IV), which is treated with phenylsulfenyl chloride and TEA at ?0 C to provide the sulfenate ester (V). Rearrange-ment of sulfenate (V) by warming at ?0 C gives the allene sulfoxide (VI), which is treated with sodium methoxide in methanol at 25 C to yield the enol ether sulfoxide (VII). Then, by refluxing in methanol, an equilibrium between sulfoxide (VII) and sulfenate (VIII) occurs. Reaction of the non-isolated sulfenate (VIII) with the thiophile trimethyl phosphite affords the 17a-hydroxy enol ether (IX), which is finally converted to anecortave acetate by either treatment with peracetic acid and NaHCO3 in dichloromethane or bromination with Br2 and pyridine in dichloromethane to give compound (X) followed by treatment with KOAc, KI and AcOH in refluxing acetone.

参考文献No.58260
标题:Preparation of corticoids from 17-keto steroids
作者:Walker, J.A.; Hessler, E.J. (Pharmacia Corp.)
来源:US 4357279
合成路线图解说明:

Condensation of 3-methoxyandrosta-3,5,9(11)-trien-17-one (XI) with (E)-1,2-dichloroethylene (XII) by means of BuLi in toluene gives 17a-[(E)-1,2-dichloro-vinyl]-17b-hydroxyandrosta-4,9(11)-dien-3-one (XXX), which is treated with phenylsulfenyl chloride and TEA in dichloromethane to yield 20,21-dichloro-21-(phenylsulfinyl)pregna-4,9(11),17(20)-trien-3-one (XXXI). Reac-tion of compound (XXXI) with MeONa in acetone/MeOH at 0 C affords 21-chloro-20-methoxy-21-(phenylsulfinyl)-pregna-4,9(11),17(20)-trien-3-one (XXXII), which by treatment with more MeONa at 35 C provides 21-chloro-17a-hydroxy-20-methoxypregna-4,9(11),20-trien-3-one (XXXIII). Hydrolysis of the enol ether of (XXXIII) with HCl in THF/acetone/MeOH gives the 3,20-dione derivative (XVI), which is finally treated with AcOK and KI in hot acetone/dichloromethane.

参考文献No.58261
标题:Corticosteroids from 17-keto steroids via 20-cyano-DELTA17(20)-pregnanes
作者:Walker, J.A. (Pharmacia Corp.)
来源:US 4600538
合成路线图解说明:

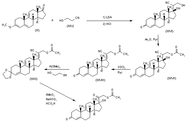
Condensation of 3-methoxyandrosta-3,5,9(11)-trien-17-one (XI) with 3-hydroxypropionitrile (XXV) by means of LDA in THF provides 17a-(1-cyano-2- hydroxyethyl)-17b-hydroxyandrosta-4,9(11)-dien-3-one (XXVI), which is selectively monoacetylated by means of Ac2O in pyridine to yield monoacetate (XXVII). Dehydration of (XXVII) by means of SOCl2 in pyridine gives 20-cyano-21-acetoxypregna-4,9(11),17(20)-trien-3-one (XXVIII), which is treated with ethylene glycol, trimethyl orthoformate and TsOH in dichloromethane to afford the ethylene ketal (XXIX). Finally, compound (XXIX) is oxidized with KMnO4 in acetone/ethylene glycol and treated with NaHSO3 and HCOOH.

参考文献No.58262
标题:Selective chlorination of steroids and other substrates directed by covalently linked agents comprising a nitrogen-containing ring acting as templates
作者:Breslow, R.; Brandl, M.; Adam, A.D.; Hunger, J. (Columbia University)
来源:WO 8809337
合成路线图解说明:

In a different approach, irradiation of (IX) in the presence of phenyliodine dichloride produced selectively the 9-chloro derivative (X). This was dechlorinated to the 9(11) olefin (XI) with AgBF4 in acetone. Hydrolysis of the ester groups of (XI) by K2CO3 in MeOH afforded diol (XII), which was finally converted to the title compound by selective reacetylation of the C-21 hydroxyl group.

参考文献No.58263
标题:Process for the preparation of pregnane deriv.
作者:Annen, K.; Laurent, H.; Wiechert, R.; Hofmeister, H. (Schering AG)
来源:DE 3434448; EP 0181442; US 4708823
合成路线图解说明:

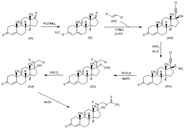
Reaction of 4,9(11)-androstadien-3,17-dione (III) with trimethyl orthoformate and TsOH in dioxane gives 3-methoxy-3,5,9(11)-androstatrien-17-one (XI), which is condensed with 1,2-dichloroethylene (XII) by means of MeLi in ethyl ether/THF to yield 17a-(chloroethynyl)-17b-hydroxy-4,9(11)-androstadien-3-one (XIII). Esterification of the OH group of (XIII) with fuming HNO3 and acetic anhydride affords the 17b-(nitrooxy) derivative (XIV), which is treated with formic acid and AgNO3 in N-methylpyrrolidone to provide 21-chloro-17a-(formyloxy)-4,9(11)-pregnadien-3,20-dione (XV). Hydrolysis of the formyloxy group of (XV) by means of KHCO3 in methanol/water gives 21-chloro-17a-hydroxy-4,9(11)-pregnadien-3,20-dione (XVI), which is finally acetylated by means of AcOK and KI in hot DMF.

参考文献No.58280
标题:Novel process for the preparation of more valuable steroid derivs. and intermediates for the same
作者:Crabbe, P.; Velarde, E.
来源:DE 2141127
合成路线图解说明:

The title compound was prepared by dehydration of 11-hydroxyl group of hydrocortisone acetate (I) by means of methanesulfonyl chloride and pyridine in hot DMF. Dehydration of (I) has also been reported by treatment with N,N'-sulfinyldiimidazole, prepared from imidazole and thionyl chloride.

参考文献No.58603
标题:Process and intermediates for the preparation of 17alpha-hydroxyprogesterones and corticoids from an enol steroid
作者:Sacks, C.E. (Pharmacia Corp.)
来源:EP 0186948
合成路线图解说明:

Reaction of 17a-ethynyl-9,11-didehydrotestosterone (IV) with phenylsulfinyl chloride and TEA in dichloromethane gives 21-(phenylsulfinyl)pregna-4,9(11),17(20),20-tetraen-3-one (VI), which is treated with phenol and NaOH in refluxing toluene to provide 20-(phenoxy)-21-(phenylsulfinyl)pregna-4,9(11),20-trien-3-one (XXXIV). The reaction of compound (XXXIV) with trimethyl phosphite and TEA in hot methanol affords 17a-hydroxy-20-(phenoxy)pregna-4,9(11),20-trien-3-one (XXXV), which is finally treated with Oxone and KOH in hot dichloromethane, and then acetylated with Ac2O, TEA and DMAP in THF/water.

参考文献No.58604
标题:Synthesis of 16-unsaturated pregnanes from 17-keto steroids
作者:Van Rheenen, V.H.; Hessler, E.J. (Pharmacia Corp.)
来源:US 4216159
合成路线图解说明:

Condensation of 3-methoxyandrosta-3,5,9(11)-trien-17-one (XI) with 2-chlorovinyl ethyl ether (XXXVI) by means of BuLi in THF gives 20-chloro-3-oxopregna-4,9(11),17(20)-trien-21-al (XXXVII), which is treated with Ac2O and AcOK in hot DMF to yield 21-(acetoxy)pregna-4,9(11),16-triene-3,20-dione (XXXVIII), Reaction of compound (XXXVIII) with RhCl(PPh3)3 and triethylsilane in hot dichloromethane affords 21-(acetoxy)-20-(triethyl-silyloxy)pregna-4,9(11),17(20)-trien-3-one (XXXIX), which is finally oxidized with peracetic acid in toluene, quenched with SO2 and treated with TEA.

参考文献No.58605
标题:DELTA16-20-keto steroid conversion to 17alpha-hydroxy-20-keto steroids
作者:Walker, J.A. (Pharmacia Corp.)
来源:US 4568492
合成路线图解说明:

Condensation of 3-methoxyandrosta-3,5,9(11)-trien-17-one (XI) with 2-chlorovinyl ethyl ether (XXXVI) by means of BuLi in THF gives 20-chloro-3-oxopregna-4,9(11),17(20)-trien-21-al (XXXVII), which is treated with Ac2O and AcOK in hot DMF to yield 21-(acetoxy)pregna-4,9(11),16-triene-3,20-dione (XXXVIII), Reaction of compound (XXXVIII) with RhCl(PPh3)3 and triethylsilane in hot dichloromethane affords 21-(acetoxy)-20-(triethyl-silyloxy)pregna-4,9(11),17(20)-trien-3-one (XXXIX), which is finally oxidized with peracetic acid in toluene, quenched with SO2 and treated with TEA.

参考文献No.58713
标题:Process for the preparation of steroids
作者:Shephard, K.P.; Van Rheenen, V.H. (Pharmacia Corp.)
来源:CH 630394
合成路线图解说明:

Reaction of 17a-ethynyl-9,11-didehydrotestosterone (IV) with phenylsulfinyl chloride and TEA in dichloromethane gives 21-(phenylsulfinyl)pregna-4,9(11),17(20),20-tetraen-3-one (VI), which is treated with phenol and NaOH in refluxing toluene to provide 20-(phenoxy)-21-(phenylsulfinyl)pregna-4,9(11),20-trien-3-one (XXXIV). The reaction of compound (XXXIV) with trimethyl phosphite and TEA in hot methanol affords 17a-hydroxy-20-(phenoxy)pregna-4,9(11),20-trien-3-one (XXXV), which is finally treated with Oxone and KOH in hot dichloromethane, and then acetylated with Ac2O, TEA and DMAP in THF/water.

参考文献No.702474
标题:New synthesis of cortico steroids from 17-keto steroids: Application and stereochemical study of the unsaturated sulfoxide-sulfenate rearrangement
作者:Van Rheenen, V.; Shephard, K.P.
来源:J Org Chem 1979,44(9),1582
合成路线图解说明:

Reaction of 9a-hydroxyandrost-4-ene-3,17-dione (I) with benzenesulfinyl chloride and pyridine gives the corresponding sulfinate (II), which by treatment with TsOH in refluxing chloroform yields androsta-4,9(11)-diene-3,17-dione (III). Reaction of the androstadienedione (III) with acetylene by means of potassium tert-butoxide in THF affords the 17a-ethynyl derivative (IV), which is treated with phenylsulfenyl chloride and TEA at ?0 C to provide the sulfenate ester (V). Rearrange-ment of sulfenate (V) by warming at ?0 C gives the allene sulfoxide (VI), which is treated with sodium methoxide in methanol at 25 C to yield the enol ether sulfoxide (VII). Then, by refluxing in methanol, an equilibrium between sulfoxide (VII) and sulfenate (VIII) occurs. Reaction of the non-isolated sulfenate (VIII) with the thiophile trimethyl phosphite affords the 17a-hydroxy enol ether (IX), which is finally converted to anecortave acetate by either treatment with peracetic acid and NaHCO3 in dichloromethane or bromination with Br2 and pyridine in dichloromethane to give compound (X) followed by treatment with KOAc, KI and AcOH in refluxing acetone.

参考文献No.702475
标题:Corticoids from 17-oxosteroids
作者:Reid, J.G.; Debiak-Krook, T.
来源:Tetrahedron Lett 1990,31(26),3669
合成路线图解说明:

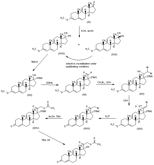
Reaction of 3-methoxyandrosta-3,5,9(11)-trien-17-one (XI) with KCN and AcOH in methanol gives a 1:1 mixture of the epimeric cyanohydrins (XVII) and (XVIII) and the desired b-cyano epimer (XVIII) is obtained in a 95% yield by selective crystallization under equilibrating conditions. Protection of the 17-OH group of (XVIII) with TMS-Cl and imidazole yields the silyl ether (XIX), which is reduced with DIBAL and AcOH to afford the carbaldehyde (XX). Reaction of compound (XX) with dibromomethane and LDA provides the dibromo derivative (XXI), which by reaction with more LDA gives the lithium enolate (XXII). Hydrolysis of enolate (XXII) in acid medium yields the a-bromoketone (XXIII), which is acylated with AcOH and TEA in hot acetone to afford the silylated steroid (XXIV). Finally, compound (XXIV) is deprotected by means of HF and TEA in dichloromethane.

参考文献No.702789
标题:A novel dehydration reaction of steroidal alcohols
作者:S髄yom, S.; et al.
来源:J Prakt Chem (Leipzig) 1988,330(2),309
合成路线图解说明:

The title compound was prepared by dehydration of 11-hydroxyl group of hydrocortisone acetate (I) by means of methanesulfonyl chloride and pyridine in hot DMF. Dehydration of (I) has also been reported by treatment with N,N'-sulfinyldiimidazole, prepared from imidazole and thionyl chloride.

参考文献No.707396
标题:Anecortave Acetate
作者:Casta馿r, J.; Sorbera, L.A.; Leeson, P.A.; Bay閟, M.
来源:Drugs Fut 2002,27(11),1039
合成路线图解说明:

Reaction of 9a-hydroxyandrost-4-ene-3,17-dione (I) with benzenesulfinyl chloride and pyridine gives the corresponding sulfinate (II), which by treatment with TsOH in refluxing chloroform yields androsta-4,9(11)-diene-3,17-dione (III). Reaction of the androstadienedione (III) with acetylene by means of potassium tert-butoxide in THF affords the 17a-ethynyl derivative (IV), which is treated with phenylsulfenyl chloride and TEA at ?0 C to provide the sulfenate ester (V). Rearrange-ment of sulfenate (V) by warming at ?0 C gives the allene sulfoxide (VI), which is treated with sodium methoxide in methanol at 25 C to yield the enol ether sulfoxide (VII). Then, by refluxing in methanol, an equilibrium between sulfoxide (VII) and sulfenate (VIII) occurs. Reaction of the non-isolated sulfenate (VIII) with the thiophile trimethyl phosphite affords the 17a-hydroxy enol ether (IX), which is finally converted to anecortave acetate by either treatment with peracetic acid and NaHCO3 in dichloromethane or bromination with Br2 and pyridine in dichloromethane to give compound (X) followed by treatment with KOAc, KI and AcOH in refluxing acetone.

合成路线图解说明:

Reaction of 4,9(11)-androstadien-3,17-dione (III) with trimethyl orthoformate and TsOH in dioxane gives 3-methoxy-3,5,9(11)-androstatrien-17-one (XI), which is condensed with 1,2-dichloroethylene (XII) by means of MeLi in ethyl ether/THF to yield 17a-(chloroethynyl)-17b-hydroxy-4,9(11)-androstadien-3-one (XIII). Esterification of the OH group of (XIII) with fuming HNO3 and acetic anhydride affords the 17b-(nitrooxy) derivative (XIV), which is treated with formic acid and AgNO3 in N-methylpyrrolidone to provide 21-chloro-17a-(formyloxy)-4,9(11)-pregnadien-3,20-dione (XV). Hydrolysis of the formyloxy group of (XV) by means of KHCO3 in methanol/water gives 21-chloro-17a-hydroxy-4,9(11)-pregnadien-3,20-dione (XVI), which is finally acetylated by means of AcOK and KI in hot DMF.

合成路线图解说明:

Reaction of 3-methoxyandrosta-3,5,9(11)-trien-17-one (XI) with KCN and AcOH in methanol gives a 1:1 mixture of the epimeric cyanohydrins (XVII) and (XVIII) and the desired b-cyano epimer (XVIII) is obtained in a 95% yield by selective crystallization under equilibrating conditions. Protection of the 17-OH group of (XVIII) with TMS-Cl and imidazole yields the silyl ether (XIX), which is reduced with DIBAL and AcOH to afford the carbaldehyde (XX). Reaction of compound (XX) with dibromomethane and LDA provides the dibromo derivative (XXI), which by reaction with more LDA gives the lithium enolate (XXII). Hydrolysis of enolate (XXII) in acid medium yields the a-bromoketone (XXIII), which is acylated with AcOH and TEA in hot acetone to afford the silylated steroid (XXIV). Finally, compound (XXIV) is deprotected by means of HF and TEA in dichloromethane.

合成路线图解说明:

Condensation of 3-methoxyandrosta-3,5,9(11)-trien-17-one (XI) with 3-hydroxypropionitrile (XXV) by means of LDA in THF provides 17a-(1-cyano-2- hydroxyethyl)-17b-hydroxyandrosta-4,9(11)-dien-3-one (XXVI), which is selectively monoacetylated by means of Ac2O in pyridine to yield monoacetate (XXVII). Dehydration of (XXVII) by means of SOCl2 in pyridine gives 20-cyano-21-acetoxypregna-4,9(11),17(20)-trien-3-one (XXVIII), which is treated with ethylene glycol, trimethyl orthoformate and TsOH in dichloromethane to afford the ethylene ketal (XXIX). Finally, compound (XXIX) is oxidized with KMnO4 in acetone/ethylene glycol and treated with NaHSO3 and HCOOH.

合成路线图解说明:

Condensation of 3-methoxyandrosta-3,5,9(11)-trien-17-one (XI) with (E)-1,2-dichloroethylene (XII) by means of BuLi in toluene gives 17a-[(E)-1,2-dichloro-vinyl]-17b-hydroxyandrosta-4,9(11)-dien-3-one (XXX), which is treated with phenylsulfenyl chloride and TEA in dichloromethane to yield 20,21-dichloro-21-(phenylsulfinyl)pregna-4,9(11),17(20)-trien-3-one (XXXI). Reac-tion of compound (XXXI) with MeONa in acetone/MeOH at 0 C affords 21-chloro-20-methoxy-21-(phenylsulfinyl)-pregna-4,9(11),17(20)-trien-3-one (XXXII), which by treatment with more MeONa at 35 C provides 21-chloro-17a-hydroxy-20-methoxypregna-4,9(11),20-trien-3-one (XXXIII). Hydrolysis of the enol ether of (XXXIII) with HCl in THF/acetone/MeOH gives the 3,20-dione derivative (XVI), which is finally treated with AcOK and KI in hot acetone/dichloromethane.

合成路线图解说明:

Reaction of 17a-ethynyl-9,11-didehydrotestosterone (IV) with phenylsulfinyl chloride and TEA in dichloromethane gives 21-(phenylsulfinyl)pregna-4,9(11),17(20),20-tetraen-3-one (VI), which is treated with phenol and NaOH in refluxing toluene to provide 20-(phenoxy)-21-(phenylsulfinyl)pregna-4,9(11),20-trien-3-one (XXXIV). The reaction of compound (XXXIV) with trimethyl phosphite and TEA in hot methanol affords 17a-hydroxy-20-(phenoxy)pregna-4,9(11),20-trien-3-one (XXXV), which is finally treated with Oxone and KOH in hot dichloromethane, and then acetylated with Ac2O, TEA and DMAP in THF/water.

合成路线图解说明:

Condensation of 3-methoxyandrosta-3,5,9(11)-trien-17-one (XI) with 2-chlorovinyl ethyl ether (XXXVI) by means of BuLi in THF gives 20-chloro-3-oxopregna-4,9(11),17(20)-trien-21-al (XXXVII), which is treated with Ac2O and AcOK in hot DMF to yield 21-(acetoxy)pregna-4,9(11),16-triene-3,20-dione (XXXVIII), Reaction of compound (XXXVIII) with RhCl(PPh3)3 and triethylsilane in hot dichloromethane affords 21-(acetoxy)-20-(triethyl-silyloxy)pregna-4,9(11),17(20)-trien-3-one (XXXIX), which is finally oxidized with peracetic acid in toluene, quenched with SO2 and treated with TEA.

Drug Information Express,Drug R&D,Chemical Database,Patent Search.
Copyright © 2006-2026 Drug Future. All rights reserved.Contact Us