【药物名称】DV-7751a
化学结构式(Chemical Structure):
参考文献No.477820
标题:Synthesis and antibacterial activity of novel pyridobenzoxazine analogues
作者:Kawakami, K.; Ararashi, S.; Kimura, Y.; Takemura, M.; Hayakawa, I.
来源:Chem Pharm Bull 1998,46(11),1710
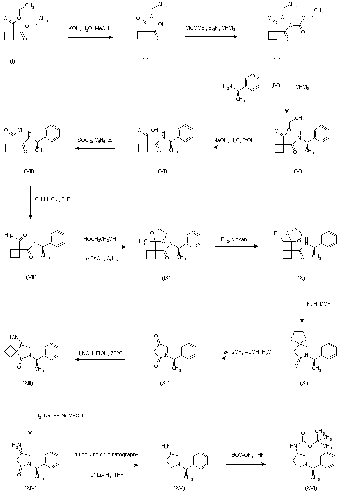
合成路线图解说明:

Partial hydrolysis of cyclobutane-1,1-dicarboxylic acid diethyl ester (I) with one equivalent of hydroethanolic KOH produced monocarboxylic acid (II). This was converted to the mixed anhydride (III) by treatment with ethyl chloroformate and triethylamine, and subsequently condensed with (R)-1-phenyl-ethylamine (IV) to give amide (V). Hydrolysis of the remaining ester group of (V) with NaOH gave carboxylic acid (VI), from which the corresponding acid chloride (VII) was obtained by treatment with SOCl2. Further reaction of (VII) with methyllithium and CuI afforded methyl ketone (VIII). After protection of the carbonyl group of (VIII) as the ethylene ketal (IX), bromination in dioxan yielded bromide (X). Then, cyclization of (X) with NaH in DMF gave the spirocyclobutylpyrrolidine (XI). The ketal group of (XI) was then deprotected with p-toluenesulfonic acid in aqueous AcOH to afford pyrrolidinedione (XII), which was transformed to oxime (XIII) by treatment with hydroxylamine in EtOH. Catalytic hydrogenation of the oxime (XIII) yielded a diastereomeric mixture of amines (XIV) that were separated by column chromatography. The desired isomer was reduced with LiAlH4 to diamine (XV), and subsequently treated with 2-(tert--butoxycarbonyl)oxymino-2-phenylacetonitrile (BOC-ON) to afford the tert-butyl carbamate (XVI).

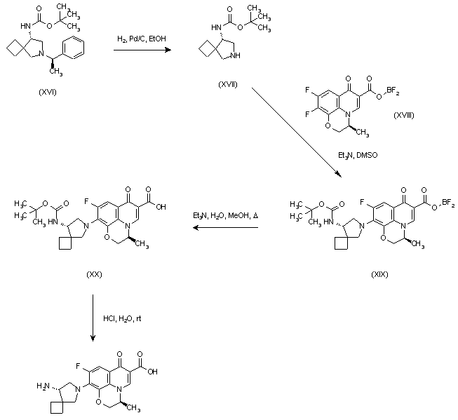
合成路线图解说明:

Hydrogenolysis of the phenylethyl group of (XVI) over Pd/C then produced the chiral secondary amine (XVII). Further substitution of the 8-fluorine atom from the BF2-chelate of the pyridobenzoxazine derivative (XVIII) with (XVII) in DMSO gave (XIX). Finally, the title compound was obtained by dechelation with Et3N in aqueous MeOH to give acid (XX), followed by deprotection of the Boc group with concentrated HCl.

Drug Information Express,Drug R&D,Chemical Database,Patent Search.
Copyright © 2006-2026 Drug Future. All rights reserved.Contact Us