【药物名称】Exatecan mesilate, DX-8951f, DX-8951(free base)
化学结构式(Chemical Structure):
参考文献No.18338
标题:Hexacyclic cpd.
作者:Terasawa, H.; Ejima, A.; Ohsuki, S.; Uoto, K. (Daiichi Pharmaceutical Co., Ltd.; Yakult Honsha Co., Ltd.)
来源:EP 0495432; JP 1993059061; US 5834476; US 6407115
合成路线图解说明:

Friedel-Crafts acylation of 2-fluorotoluene (I) with succinic anhydride (II) in the presence of AlCl3 afforded 4-(4-fluoro-3-methylphenyl)-4-oxobutanoic acid (III). Ketone (III) reduction by hydrogenation over Pd/C furnished the arylbutyric acid (IV), which was esterified to (V) by means of SOCl2 in MeOH. Subsequent aromatic ring nitration of (V) yielded (VI). After basic hydrolysis of the methyl ester of (VI), the arylbutyric acid (VII) was subjected to intramolecular cyclization in hot polyphosphoric acid producing tetralone (VIII). Reduction of the keto group of (VIII) with NaBH4, followed by dehydration of the resultant alcohol (IX) under acidic conditions, gave rise to the dihydronaphthalene (X). Hydrogenation of the olefin double bond of (X) and simultaneous nitro group reduction in the presence of PtO2 produced the amino tetralin (XI). The amino group of (XI) was further protected as the acetamide (XII) employing Ac2O and Et3N. Regioselective benzylic oxidation of (XII) with KMnO4 gave tetralone (XIII). Functionalization of the alpha position of (XIII) to ketone was achieved employing n-butyl nitrite and potassium tert-butoxide. The resulting keto oxime (XIV) was then reduced with zinc in the presence of Ac2O, yielding acetamide (XV). Both amide functions of (XV) were hydrolyzed under acidic conditions to give diamine (XVI). The aliphatic amine of (XVI) was then selectively acylated with ethyl trifluoroacetate to produce the trifluoroacetamide (XVII).

合成路线图解说明:

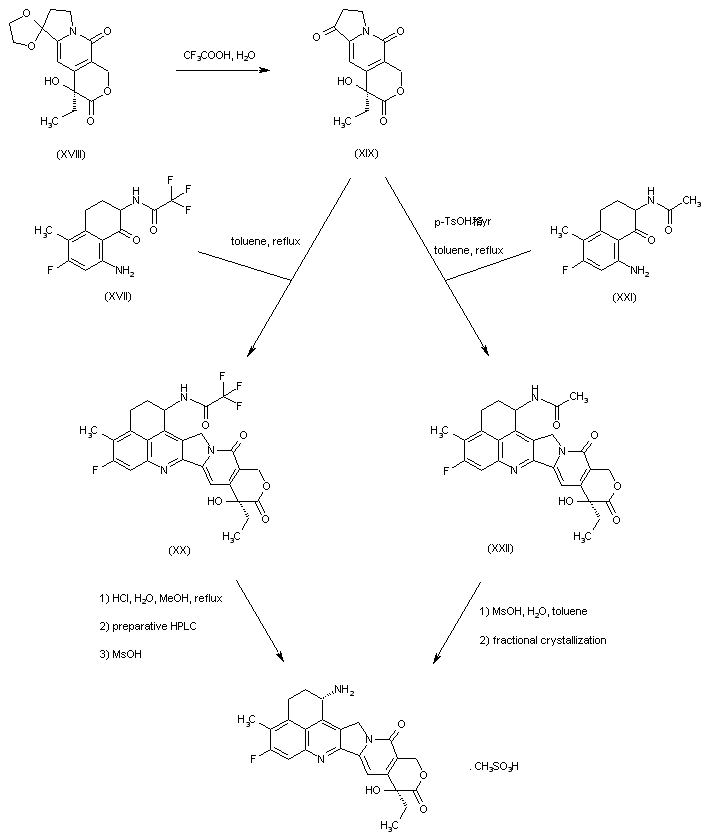
The pyranoindolizine acetal (XVIII) was hydrolyzed to the trione (XIX) in 90% trifluoroacetic acid. Condensation of (XIX) with amino ketone (XVII) in refluxing toluene produced the hexacyclic compound (XX) as a diastereomeric mixture. The title compound was then obtained by acidic hydrolysis of the trifluoroacetamido group, followed by isolation of the desired isomer by preparative HPLC. The synthesis of the title compound was also reported by condensation of trione (XIX) with the acetamido tetralone (XXI). The resultant hexacyclic acetamide (XXII) was subsequently hydrolyzed with methanesulfonic acid, and the diastereomeric mixture of mesylate salts was finally separated by fractional crystallization.

参考文献No.31255
标题:Campthothecin deriv. with antitumour activity
作者:Kamihara, S.; Kanai, K.; Noguchi, S.; Terasawa, H.; Kitaoka, H. (Daiichi Pharmaceutical Co., Ltd.; Yakult Honsha Co., Ltd.)
来源:CA 2173671; EP 0737686; JP 1996337584
合成路线图解说明:

The pyranoindolizine acetal (XVIII) was hydrolyzed to the trione (XIX) in 90% trifluoroacetic acid. Condensation of (XIX) with amino ketone (XVII) in refluxing toluene produced the hexacyclic compound (XX) as a diastereomeric mixture. The title compound was then obtained by acidic hydrolysis of the trifluoroacetamido group, followed by isolation of the desired isomer by preparative HPLC. The synthesis of the title compound was also reported by condensation of trione (XIX) with the acetamido tetralone (XXI). The resultant hexacyclic acetamide (XXII) was subsequently hydrolyzed with methanesulfonic acid, and the diastereomeric mixture of mesylate salts was finally separated by fractional crystallization.

参考文献No.66622
标题:Antitumor agents
作者:Terasawa, H.; Sato, K.; Mitsui, I. (Daiichi Pharmaceutical Co., Ltd.; Yakult Honsha Co., Ltd.)
来源:JP 1994087746
合成路线图解说明:

Friedel-Crafts acylation of 2-fluorotoluene (I) with succinic anhydride (II) in the presence of AlCl3 afforded 4-(4-fluoro-3-methylphenyl)-4-oxobutanoic acid (III). Ketone (III) reduction by hydrogenation over Pd/C furnished the arylbutyric acid (IV), which was esterified to (V) by means of SOCl2 in MeOH. Subsequent aromatic ring nitration of (V) yielded (VI). After basic hydrolysis of the methyl ester of (VI), the arylbutyric acid (VII) was subjected to intramolecular cyclization in hot polyphosphoric acid producing tetralone (VIII). Reduction of the keto group of (VIII) with NaBH4, followed by dehydration of the resultant alcohol (IX) under acidic conditions, gave rise to the dihydronaphthalene (X). Hydrogenation of the olefin double bond of (X) and simultaneous nitro group reduction in the presence of PtO2 produced the amino tetralin (XI). The amino group of (XI) was further protected as the acetamide (XII) employing Ac2O and Et3N. Regioselective benzylic oxidation of (XII) with KMnO4 gave tetralone (XIII). Functionalization of the alpha position of (XIII) to ketone was achieved employing n-butyl nitrite and potassium tert-butoxide. The resulting keto oxime (XIV) was then reduced with zinc in the presence of Ac2O, yielding acetamide (XV). Both amide functions of (XV) were hydrolyzed under acidic conditions to give diamine (XVI). The aliphatic amine of (XVI) was then selectively acylated with ethyl trifluoroacetate to produce the trifluoroacetamide (XVII).

合成路线图解说明:

The pyranoindolizine acetal (XVIII) was hydrolyzed to the trione (XIX) in 90% trifluoroacetic acid. Condensation of (XIX) with amino ketone (XVII) in refluxing toluene produced the hexacyclic compound (XX) as a diastereomeric mixture. The title compound was then obtained by acidic hydrolysis of the trifluoroacetamido group, followed by isolation of the desired isomer by preparative HPLC. The synthesis of the title compound was also reported by condensation of trione (XIX) with the acetamido tetralone (XXI). The resultant hexacyclic acetamide (XXII) was subsequently hydrolyzed with methanesulfonic acid, and the diastereomeric mixture of mesylate salts was finally separated by fractional crystallization.

参考文献No.778296
标题:Exatecan Mesilate
作者:Chilman-Blair, K.; Mealy, N.E.; Casta馿r, J.; Bay閟, M.
来源:Drugs Fut 2004,29(1),9
合成路线图解说明:

Friedel-Crafts acylation of 2-fluorotoluene (I) with succinic anhydride (II) in the presence of AlCl3 afforded 4-(4-fluoro-3-methylphenyl)-4-oxobutanoic acid (III). Ketone (III) reduction by hydrogenation over Pd/C furnished the arylbutyric acid (IV), which was esterified to (V) by means of SOCl2 in MeOH. Subsequent aromatic ring nitration of (V) yielded (VI). After basic hydrolysis of the methyl ester of (VI), the arylbutyric acid (VII) was subjected to intramolecular cyclization in hot polyphosphoric acid producing tetralone (VIII). Reduction of the keto group of (VIII) with NaBH4, followed by dehydration of the resultant alcohol (IX) under acidic conditions, gave rise to the dihydronaphthalene (X). Hydrogenation of the olefin double bond of (X) and simultaneous nitro group reduction in the presence of PtO2 produced the amino tetralin (XI). The amino group of (XI) was further protected as the acetamide (XII) employing Ac2O and Et3N. Regioselective benzylic oxidation of (XII) with KMnO4 gave tetralone (XIII). Functionalization of the alpha position of (XIII) to ketone was achieved employing n-butyl nitrite and potassium tert-butoxide. The resulting keto oxime (XIV) was then reduced with zinc in the presence of Ac2O, yielding acetamide (XV). Both amide functions of (XV) were hydrolyzed under acidic conditions to give diamine (XVI). The aliphatic amine of (XVI) was then selectively acylated with ethyl trifluoroacetate to produce the trifluoroacetamide (XVII).

合成路线图解说明:

The pyranoindolizine acetal (XVIII) was hydrolyzed to the trione (XIX) in 90% trifluoroacetic acid. Condensation of (XIX) with amino ketone (XVII) in refluxing toluene produced the hexacyclic compound (XX) as a diastereomeric mixture. The title compound was then obtained by acidic hydrolysis of the trifluoroacetamido group, followed by isolation of the desired isomer by preparative HPLC. The synthesis of the title compound was also reported by condensation of trione (XIX) with the acetamido tetralone (XXI). The resultant hexacyclic acetamide (XXII) was subsequently hydrolyzed with methanesulfonic acid, and the diastereomeric mixture of mesylate salts was finally separated by fractional crystallization.

Drug Information Express,Drug R&D,Chemical Database,Patent Search.
Copyright © 2006-2026 Drug Future. All rights reserved.Contact Us