【药物名称】ILX-295501, LY-295501
化学结构式(Chemical Structure):
参考文献No.55733
标题:Synthesis of bicyclic aromatic sulfonic acids, sulfonyl chlorides and sulfonamides
作者:Tao, E.V.-P.; Miller, W.D. (Eli Lilly and Company)
来源:EP 0583960
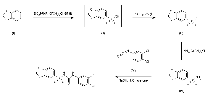
合成路线图解说明:

Electrophilic sulfonation of 2,3-dihydrobenzofuran (I) using sulfur trioxide-dimethylformamide complex produced sulfonic acid (II), which was subsequently converted into the sulfonyl chloride (III) by chlorination with SOCl2. Reaction of sulfonyl chloride (III) with a solution of ammonia in cold dichloroethane gave rise to the sulfonamide (IV). This was subsequently condensed with 3,4-dichlophenyl isocyanate (V) to furnish the target sulfonyl urea

Drug Information Express,Drug R&D,Chemical Database,Patent Search.
Copyright © 2006-2026 Drug Future. All rights reserved.Contact Us