【药物名称】Pixantrone maleate, BBR-2778
化学结构式(Chemical Structure):
参考文献No.18762
标题:6,9-Bis(substd.-amino)benzo-[g]isoquinoline-5,10-diones
作者:Krapcho, P.A. (University of Vermont)
来源:EP 0503537; EP 0575526; JP 1994511230; WO 9215300
合成路线图解说明:

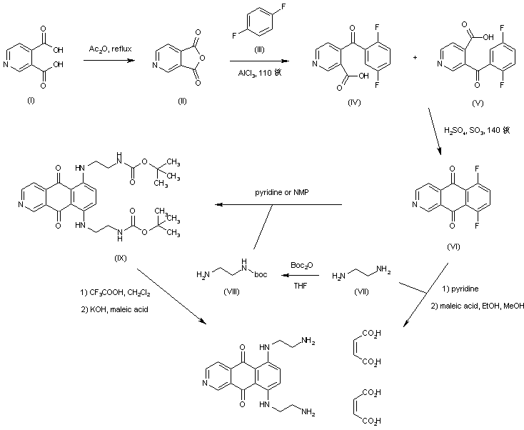
3,4-Pyridinedicarboxylic acid (I) was converted to the cyclic anhydride (II) upon heating with acetic anhydride. Friedel-Crafts condensation of anhydride (II) with p-difluorobenzene (III) in the presence of AlCl3 gave rise to a mixture of two regioisomeric keto acids, (IV) and (V). Cyclization of this mixture in fuming sulfuric acid at 140 C generated the benzoisoquinoline (VI) (1,2). Subsequent displacement of the fluorine atoms of (VI) with ethylenediamine (VII) in pyridine provided the target bis(2-aminoethylamino) derivative, which was finally converted to the stable dimaleate salt. Alternatively, ethylenediamine (VII) was protected as the mono-N-Boc derivative (VIII) by treatment with Boc2O. Condensation of the difluoro compound (VI) with the protected ethylenediamine (VIII) furnished (IX). The Boc groups of (IX) were then removed by treatment with trifluoroacetic acid. After adjustment of the pH to 4.2 with KOH, treatment with maleic acid provided BBR-2778.

参考文献No.29478
标题:6,9-Bis[(2-aminoethyl)amino]benzo[g]isoquinoline-5, 10-dione and its dimaleate salt
作者:Spinelli, S.; DiDomenico, R. (Roche Diagnostics GmbH)
来源:JP 1997507674; JP 2001089454; US 5506232; WO 9526189
合成路线图解说明:

3,4-Pyridinedicarboxylic acid (I) was converted to the cyclic anhydride (II) upon heating with acetic anhydride. Friedel-Crafts condensation of anhydride (II) with p-difluorobenzene (III) in the presence of AlCl3 gave rise to a mixture of two regioisomeric keto acids, (IV) and (V). Cyclization of this mixture in fuming sulfuric acid at 140 C generated the benzoisoquinoline (VI) (1,2). Subsequent displacement of the fluorine atoms of (VI) with ethylenediamine (VII) in pyridine provided the target bis(2-aminoethylamino) derivative, which was finally converted to the stable dimaleate salt. Alternatively, ethylenediamine (VII) was protected as the mono-N-Boc derivative (VIII) by treatment with Boc2O. Condensation of the difluoro compound (VI) with the protected ethylenediamine (VIII) furnished (IX). The Boc groups of (IX) were then removed by treatment with trifluoroacetic acid. After adjustment of the pH to 4.2 with KOH, treatment with maleic acid provided BBR-2778.

参考文献No.248902
标题:6,9-Bis[(aminoalkyl)amino]benzo[g]isoquinoline-5, 10-diones. A novel class of chromophore-modified antitumor anthracene-9,10-diones: Synthesis and antitumor evaluations
作者:Krapcho, A.P.; Petry, M.E.; Getahun, Z.; Landi, J.J. Jr.; Stallman, J.; Polsenberg, J.F.; Gallagher, C.E.; Maresch, M.J.; Hacker, M.P.; Giuliani, F.C.; et al.
来源:J Med Chem 1994,37(6),828
合成路线图解说明:

3,4-Pyridinedicarboxylic acid (I) was converted to the cyclic anhydride (II) upon heating with acetic anhydride. Friedel-Crafts condensation of anhydride (II) with p-difluorobenzene (III) in the presence of AlCl3 gave rise to a mixture of two regioisomeric keto acids, (IV) and (V). Cyclization of this mixture in fuming sulfuric acid at 140 C generated the benzoisoquinoline (VI) (1,2). Subsequent displacement of the fluorine atoms of (VI) with ethylenediamine (VII) in pyridine provided the target bis(2-aminoethylamino) derivative, which was finally converted to the stable dimaleate salt. Alternatively, ethylenediamine (VII) was protected as the mono-N-Boc derivative (VIII) by treatment with Boc2O. Condensation of the difluoro compound (VI) with the protected ethylenediamine (VIII) furnished (IX). The Boc groups of (IX) were then removed by treatment with trifluoroacetic acid. After adjustment of the pH to 4.2 with KOH, treatment with maleic acid provided BBR-2778.

合成路线图解说明:

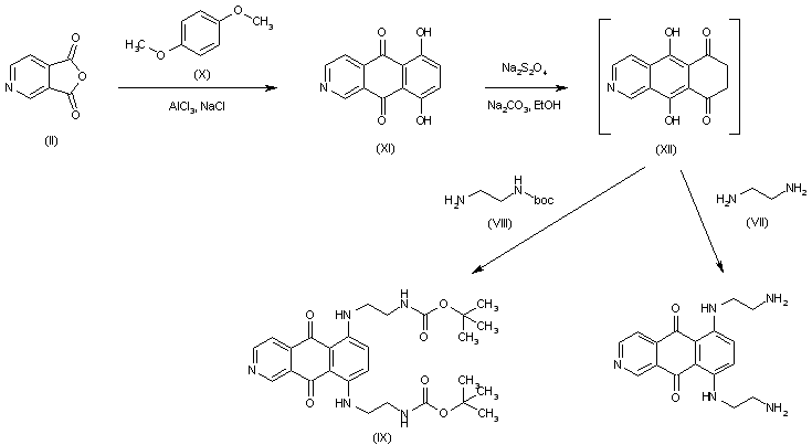
Friedel-Crafts bis-acylation of p-dimethoxybenzene (X) with anhydride (II) in molten aluminum chloride/sodium chloride afforded the benzoisoquinoline (XI). This compound was reduced with sodium dithionite to generate an intermediate leuco form (XII). Subsequent addition of Boc-ethylenediamine (VIII) to (XII) produced, after air oxidation during the work-up, the protected tetraamino compound (IX). Alternatively, addition of ethylenediamine (VII) to the intermediate (XII) led to the free base of BBR-2778, which was converted to the maleate.

Drug Information Express,Drug R&D,Chemical Database,Patent Search.
Copyright © 2006-2026 Drug Future. All rights reserved.Contact Us