【药物名称】Etalocib sodium, VML-295, LY-293111 Sodium, LY-293111Na
化学结构式(Chemical Structure):
参考文献No.233785
标题:Diaryl ether/carboxylic acid derivatives of LY255283: Receptor antagonists of leukotriene B4
作者:Sawyer, J.S.; Baldwin, R.F.; Saussy, D.L. Jr.; Froelich, L.L.; Jackson, W.T.
来源:Bioorg Med Chem Lett 1993,3(10),1985-90
合成路线图解说明:

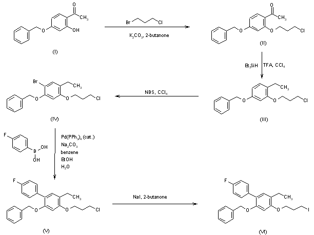
The biphenyl side chain of LY293111 can be constructed as illustrated in Scheme 19757001a: 4-Benzyloxy-2-hydroxyacetophenone (I) is alkylated with 1-bromo-3-chloropropane to provide compound (II). Reduction of the keto group with triethylsilane in trifluoroacetic acid provides (III), which is then regiospecifically brominated with N-bromosuccinimide to give (IV). A Suzuki biaryl coupling of (IV) with 4-fluorophenylboronic acid is used to prepare chloride (V), which is treated with sodium iodide in refluxing 2-butanone to give intermediate iodide (VI).

合成路线图解说明:

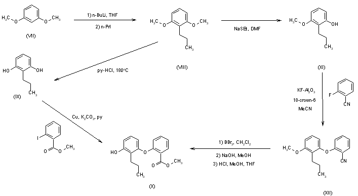
The key diaryl ethyl fragment of LY293111 begins with the deprotonation and alkylation of 1,3-dimethoxybenzene (VII) to provide compound (VIII). Two routes may be used to construct the diaryl ether phenol (X). The first route, utilizing an Ullmann ether synthesis, begins with the demethylation of (VIII) with molten pyridinium hydrochloride to give diol (IX). Subsequent coupling of (IX) with methyl 2-iodobenzoate in the presence of copper and potassium carbonate in refluxing pyridine provides the target phenol (X). In the alternative route, compound (VIII) is mono-demethylated with sodium ethanethiolate in hot N,N-dimethylformamide to provide phenol (XI). The addition of 2-fluorobenzonitrile to (XI), mediated by potassium fluoride-alumina and 18-crown-6 in refluxing acetonitrile, provides nitrile (XII). Boron tribromide-assisted demethylation of (XII), followed by hydrolysis and esterification, completes the alternate synthesis of intermediate (X).

合成路线图解说明:

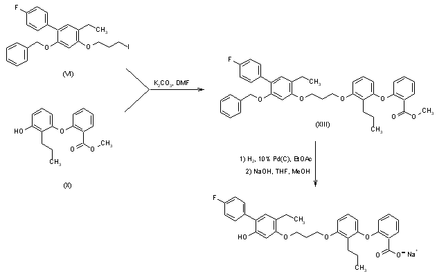
The final coupling of fragments (VI) and (X) to give (XIII) is shown in Scheme 19757001c, and is accomplished in the presence of potassium carbonate in N,N-dimethylformamide. The final deprotection sequence is effected by hydrogenolysis of the benzyl ether followed by hydrolysis of the resulting ester to provide LY293111 as the sodium salt.

参考文献No.286046
标题:Biphenylyl-substituted xanthones: Highly potent leukotriene B4 receptor antagonists
作者:Sawyer, J.S.; Baldwin, R.F.; Sofia, M.J.; Floreancig, P.; Marder, P.; Saussy, D.L. Jr.; Froelich, L.L.; Silbaugh, S.A.; Stengel, P.W.; Cockerham, S.L.; et al.
来源:J Med Chem 1993,36(24),3982-4
合成路线图解说明:

The biphenyl side chain of LY293111 can be constructed as illustrated in Scheme 19757001a: 4-Benzyloxy-2-hydroxyacetophenone (I) is alkylated with 1-bromo-3-chloropropane to provide compound (II). Reduction of the keto group with triethylsilane in trifluoroacetic acid provides (III), which is then regiospecifically brominated with N-bromosuccinimide to give (IV). A Suzuki biaryl coupling of (IV) with 4-fluorophenylboronic acid is used to prepare chloride (V), which is treated with sodium iodide in refluxing 2-butanone to give intermediate iodide (VI).

合成路线图解说明:

The key diaryl ethyl fragment of LY293111 begins with the deprotonation and alkylation of 1,3-dimethoxybenzene (VII) to provide compound (VIII). Two routes may be used to construct the diaryl ether phenol (X). The first route, utilizing an Ullmann ether synthesis, begins with the demethylation of (VIII) with molten pyridinium hydrochloride to give diol (IX). Subsequent coupling of (IX) with methyl 2-iodobenzoate in the presence of copper and potassium carbonate in refluxing pyridine provides the target phenol (X). In the alternative route, compound (VIII) is mono-demethylated with sodium ethanethiolate in hot N,N-dimethylformamide to provide phenol (XI). The addition of 2-fluorobenzonitrile to (XI), mediated by potassium fluoride-alumina and 18-crown-6 in refluxing acetonitrile, provides nitrile (XII). Boron tribromide-assisted demethylation of (XII), followed by hydrolysis and esterification, completes the alternate synthesis of intermediate (X).

合成路线图解说明:

The final coupling of fragments (VI) and (X) to give (XIII) is shown in Scheme 19757001c, and is accomplished in the presence of potassium carbonate in N,N-dimethylformamide. The final deprotection sequence is effected by hydrogenolysis of the benzyl ether followed by hydrolysis of the resulting ester to provide LY293111 as the sodium salt.

参考文献No.340816
标题:Synthetic and structure/activity studies on acid-substituted 2-arylphenols: The discovery of 2-[2-propyl-3-[3-[2-ethyl-4-(4-fluorophenyl)-5-hydroxyphenoxy]propoxy]phenoxy]benzoic acid, a high-affinity leukotriene B4 receptor antagonist
作者:Sawyer, J.S.; Bach, N.J.; Baker, S.R.; Baldwin, R.F.; Borromeo, P.S.; Cockerham, S.L.; Fleisch, J.H.; Floreancig, P.; Froelich, L.L.; Jackson, W.T.; et al.
来源:J Med Chem 1995,38(22),4411-32
合成路线图解说明:

The biphenyl side chain of LY293111 can be constructed as illustrated in Scheme 19757001a: 4-Benzyloxy-2-hydroxyacetophenone (I) is alkylated with 1-bromo-3-chloropropane to provide compound (II). Reduction of the keto group with triethylsilane in trifluoroacetic acid provides (III), which is then regiospecifically brominated with N-bromosuccinimide to give (IV). A Suzuki biaryl coupling of (IV) with 4-fluorophenylboronic acid is used to prepare chloride (V), which is treated with sodium iodide in refluxing 2-butanone to give intermediate iodide (VI).

合成路线图解说明:

The key diaryl ethyl fragment of LY293111 begins with the deprotonation and alkylation of 1,3-dimethoxybenzene (VII) to provide compound (VIII). Two routes may be used to construct the diaryl ether phenol (X). The first route, utilizing an Ullmann ether synthesis, begins with the demethylation of (VIII) with molten pyridinium hydrochloride to give diol (IX). Subsequent coupling of (IX) with methyl 2-iodobenzoate in the presence of copper and potassium carbonate in refluxing pyridine provides the target phenol (X). In the alternative route, compound (VIII) is mono-demethylated with sodium ethanethiolate in hot N,N-dimethylformamide to provide phenol (XI). The addition of 2-fluorobenzonitrile to (XI), mediated by potassium fluoride-alumina and 18-crown-6 in refluxing acetonitrile, provides nitrile (XII). Boron tribromide-assisted demethylation of (XII), followed by hydrolysis and esterification, completes the alternate synthesis of intermediate (X).

合成路线图解说明:

The final coupling of fragments (VI) and (X) to give (XIII) is shown in Scheme 19757001c, and is accomplished in the presence of potassium carbonate in N,N-dimethylformamide. The final deprotection sequence is effected by hydrogenolysis of the benzyl ether followed by hydrolysis of the resulting ester to provide LY293111 as the sodium salt.

参考文献No.360855
标题:LY-293111 Sodium
作者:Sawyer, J.S.
来源:Drugs Fut 1996,21(6),610
合成路线图解说明:

The biphenyl side chain of LY293111 can be constructed as illustrated in Scheme 19757001a: 4-Benzyloxy-2-hydroxyacetophenone (I) is alkylated with 1-bromo-3-chloropropane to provide compound (II). Reduction of the keto group with triethylsilane in trifluoroacetic acid provides (III), which is then regiospecifically brominated with N-bromosuccinimide to give (IV). A Suzuki biaryl coupling of (IV) with 4-fluorophenylboronic acid is used to prepare chloride (V), which is treated with sodium iodide in refluxing 2-butanone to give intermediate iodide (VI).

合成路线图解说明:

The key diaryl ethyl fragment of LY293111 begins with the deprotonation and alkylation of 1,3-dimethoxybenzene (VII) to provide compound (VIII). Two routes may be used to construct the diaryl ether phenol (X). The first route, utilizing an Ullmann ether synthesis, begins with the demethylation of (VIII) with molten pyridinium hydrochloride to give diol (IX). Subsequent coupling of (IX) with methyl 2-iodobenzoate in the presence of copper and potassium carbonate in refluxing pyridine provides the target phenol (X). In the alternative route, compound (VIII) is mono-demethylated with sodium ethanethiolate in hot N,N-dimethylformamide to provide phenol (XI). The addition of 2-fluorobenzonitrile to (XI), mediated by potassium fluoride-alumina and 18-crown-6 in refluxing acetonitrile, provides nitrile (XII). Boron tribromide-assisted demethylation of (XII), followed by hydrolysis and esterification, completes the alternate synthesis of intermediate (X).

合成路线图解说明:

The final coupling of fragments (VI) and (X) to give (XIII) is shown in Scheme 19757001c, and is accomplished in the presence of potassium carbonate in N,N-dimethylformamide. The final deprotection sequence is effected by hydrogenolysis of the benzyl ether followed by hydrolysis of the resulting ester to provide LY293111 as the sodium salt.

参考文献No.801276
标题:Synthesis of diaryl ethers, diaryl thioethers, and diaryl amines mediated by potassium fluoride-alumina and 18-crown-6
作者:Schmittling, E.A.; Sawyer, J.S.
来源:J Org Chem 1993,583229-30
合成路线图解说明:

The biphenyl side chain of LY293111 can be constructed as illustrated in Scheme 19757001a: 4-Benzyloxy-2-hydroxyacetophenone (I) is alkylated with 1-bromo-3-chloropropane to provide compound (II). Reduction of the keto group with triethylsilane in trifluoroacetic acid provides (III), which is then regiospecifically brominated with N-bromosuccinimide to give (IV). A Suzuki biaryl coupling of (IV) with 4-fluorophenylboronic acid is used to prepare chloride (V), which is treated with sodium iodide in refluxing 2-butanone to give intermediate iodide (VI).

合成路线图解说明:

The key diaryl ethyl fragment of LY293111 begins with the deprotonation and alkylation of 1,3-dimethoxybenzene (VII) to provide compound (VIII). Two routes may be used to construct the diaryl ether phenol (X). The first route, utilizing an Ullmann ether synthesis, begins with the demethylation of (VIII) with molten pyridinium hydrochloride to give diol (IX). Subsequent coupling of (IX) with methyl 2-iodobenzoate in the presence of copper and potassium carbonate in refluxing pyridine provides the target phenol (X). In the alternative route, compound (VIII) is mono-demethylated with sodium ethanethiolate in hot N,N-dimethylformamide to provide phenol (XI). The addition of 2-fluorobenzonitrile to (XI), mediated by potassium fluoride-alumina and 18-crown-6 in refluxing acetonitrile, provides nitrile (XII). Boron tribromide-assisted demethylation of (XII), followed by hydrolysis and esterification, completes the alternate synthesis of intermediate (X).

合成路线图解说明:

The final coupling of fragments (VI) and (X) to give (XIII) is shown in Scheme 19757001c, and is accomplished in the presence of potassium carbonate in N,N-dimethylformamide. The final deprotection sequence is effected by hydrogenolysis of the benzyl ether followed by hydrolysis of the resulting ester to provide LY293111 as the sodium salt.

Drug Information Express,Drug R&D,Chemical Database,Patent Search.
Copyright © 2006-2026 Drug Future. All rights reserved.Contact Us