【药物名称】Piclamilast, RPR-73401, RP-73401
化学结构式(Chemical Structure):
参考文献No.18603
标题:Benzamides
作者:Ashton, M.J.; Cook, D.C.; Fenton, G.; Hills, S.J.; Mcfarlane, I.M.; Palfreyman, M.N.; Ratcliffe, A.J.; Vicker, N. (Aventis Pharma SA)
来源:EP 0497564; EP 0569414; JP 1994504782; WO 9212961
合成路线图解说明:

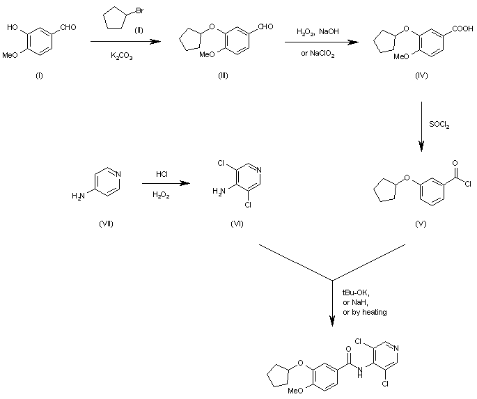
The alkylation of isovanillin (I) with cyclopentyl bromide (II) by means of K2CO3 in refluxing ethanol (or hot DMF) gives the 4-cyclopentyloxy-3-methoxybenzaldehyde (III), which is oxidized with H2O2 and NaOH (or NaClO2 in AcOH/water) yielding the carboxylic acid (IV). The reaction of (IV) with SOCl2 and DMF in refluxing toluene affords the acyl chloride (V), which is finally condensed with 3,5-dichloropyridine-4-amine (VI) by means of potassium tert-butoxide in toluene or NaH in THF or by heating at the melting point. The intermediate 3,5-dichloropyridine-4-amine (VI) is obtained by chlorination of pyridine-4-amine (VII) with HCl and H2O2 at 70 C.

参考文献No.268976
标题:Selective type IV phosphodiesterase inhibitors as antiasthmatic agents. The syntheses and biological activities of 3-(cyclopentyloxy)-4-methoxybenzamides and analogues
作者:Ashton, M.J.; Cook, D.C.; Fenton, G.; Karlsson, J.A.; Palfreyman, M.N.; Raeburn, D.; Ratcliffe, A.J.; Souness, J.E.; Thurairatnam, S.; Vicker, N.
来源:J Med Chem 1994,37(11),1696
合成路线图解说明:

The alkylation of isovanillin (I) with cyclopentyl bromide (II) by means of K2CO3 in refluxing ethanol (or hot DMF) gives the 4-cyclopentyloxy-3-methoxybenzaldehyde (III), which is oxidized with H2O2 and NaOH (or NaClO2 in AcOH/water) yielding the carboxylic acid (IV). The reaction of (IV) with SOCl2 and DMF in refluxing toluene affords the acyl chloride (V), which is finally condensed with 3,5-dichloropyridine-4-amine (VI) by means of potassium tert-butoxide in toluene or NaH in THF or by heating at the melting point. The intermediate 3,5-dichloropyridine-4-amine (VI) is obtained by chlorination of pyridine-4-amine (VII) with HCl and H2O2 at 70 C.

参考文献No.567270
标题:Process development of the PDE IV inhibitor 3-(cyclopentyloxy)-N-(3,5-dichloropyrid-4-yl)-4-methoxybenzamide
作者:Cook, D.C.; Walton, J.B.; Pemberton, C.; Jones, R.H.; McFarlane, I.M.; Thompson, D.M.; Thatcher, A.A.; Kabir, H.; Lythgoe, D.J.
来源:Org Process Res Dev 1998,2(3),157
合成路线图解说明:

The alkylation of isovanillin (I) with cyclopentyl bromide (II) by means of K2CO3 in refluxing ethanol (or hot DMF) gives the 4-cyclopentyloxy-3-methoxybenzaldehyde (III), which is oxidized with H2O2 and NaOH (or NaClO2 in AcOH/water) yielding the carboxylic acid (IV). The reaction of (IV) with SOCl2 and DMF in refluxing toluene affords the acyl chloride (V), which is finally condensed with 3,5-dichloropyridine-4-amine (VI) by means of potassium tert-butoxide in toluene or NaH in THF or by heating at the melting point. The intermediate 3,5-dichloropyridine-4-amine (VI) is obtained by chlorination of pyridine-4-amine (VII) with HCl and H2O2 at 70 C.

Drug Information Express,Drug R&D,Chemical Database,Patent Search.
Copyright © 2006-2026 Drug Future. All rights reserved.Contact Us