【药物名称】Lenapenem hydrochloride hydrate, L-739428, BO-2727
化学结构式(Chemical Structure):
参考文献No.20996
标题:Aminoalkylpyrrolidinylthiocarbapenem derivs
作者:Nakagawa, S.; Kato, S.; Murase, S.; Okamoto, O.; Mitomo, R.; Yamamoto, K.; Yamada, K.; Fukatsu, H. (Banyu Pharmaceutical Co., Ltd.)
来源:EP 0545290; JP 1994087858; US 5550121; WO 9311128
合成路线图解说明:

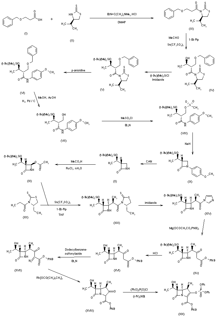
The hydrolysis of N-(tert-butoxycarbonyl)-4(R)-(tert-butyldimethylsilyloxy)-L-proline methyl ester (I) with NaOH gives the corresponding protected amino acid (II), which is condensed with malonic acid monomethyl ester (II) by means of carbonyldiimidazole (CDI) in THF to afford the L-prolylacetate (IV). The reduction of (IV) with NaBH4 in refluxing THF-methanol gives (2S,4R)-1-(tert-butoxycarbonyl)-4-(tert-butyldimethylsilyloxy)-2-(1,3-dihydroxypropyl)pyrrolidine (V), which is acylated with tosyl chloride to the primary monotosylate (VI). The chromatographic separation of (VI) over SiO2 yields the [2S(1'R),4R]-enantiomer (VII), which by treatment first with methylamine followed by 4,6-dimethyl-2-(4-nitrobenzyloxycarbonylthio)pyrimidine (PNZ-Pym) affords the N-protected methylamino derivative (VIII). The mesylation of (VIII) with methanesulfonyl chloride followed by reaction with potassium thioacetate gives (2S,4S)-4-acetylthio-2-[1(R)-hydroxy-3-(4-nitrobenzyloxycarbonylamino) propyl]-1-(4-nitrobenzyl)pyrrolidine (IX), which is treated with NaOH in methanol-water to afford the corresponding thiol (X). The condensation of (X) with (1R,5R,6S)-2-(diphenylphosphoryloxy)-6-[1(R)-hydroxyethyl]-1-methyl-1-carba-2-penem-3-carboxylic acid 4-nitrobenzyl ester (XI) by means of diisopropylethylamine in acetonitrile yields the protected compound (XII), which is finally hydrolyzed and deprotected by hydrogenation with H2 over Pd/C and treatment with HCl.

参考文献No.256363
标题:Biapenem
作者:Rabasseda, X.; Prous, J.; Casta馿r, J.
来源:Drugs Fut 1994,19(7),631
合成路线图解说明:

Reaction of 3-(benzyloxy)propionic acid (I) with 4(R)-isopropyl-1,3-thiazolidine-2-thione (II) in the presence of 1-ethyl-3-[3-(dimethylamino)propyl]carbodiimide hydrochloride and DMAP gives 3-[3-(benzyloxy)propanoyl]-4(R)-isopropyl-1,3-thiazolidine-2-thione (III), which by treatment with tin(II) trifluoromethanesulfonate and excess acetaldehyde affords 3-[(2S,3R)-2-(benzyloxymethyl)-3-hydroxybutanoyl]-4(R)-isopropyl-1,3-thiazolidine-2-thione (IV). Protection of the hydroxy group of (IV) with tert-butyldimethylsilyl chloride in the presence of imidazole yields 3-[(2S,3R)-2-(benzyloxymethyl)-3-(tert-butyldimethylsilyloxy)butanoyl]-4(R)-isopropyl-1,3-thiazolidine-2-thione (V), which is treated with p-anisidine to afford (2S,3R)-2-(benzyloxymethyl)-3-(tert-butyldimethylsilyloxy)-N-(4-methoxyphenyl)butylamide (VI). Deprotection of (VI) by hydrogenation with Pd/C in methanol-acetic acid gives (2S,3R)-3-(tert-butyldimethylsilyloxy)-2-(hydroxymethyl)-N-(4-methoxyphenyl)butylamide (VII), which is mesylated with methanesulfonyl chloride in the presence of triethylamine to yield (2S,3R)-3-(tert-butyldimethylsilyloxy)-2-[(methanesulfonyloxy)methyl]-N-(4-methoxyphenyl)butylamide (VIII). Cyclization of (VIII) with sodium hydride in CH2Cl2-DMF affords 3(S)-[1(R)-(tert-butyldimethylsilyloxy)ethyl]-1-(4-methoxyphenyl) azetidin-2-one (IX), the nitrogen atom of which is deprotected with cerium ammonium nitrate (CAN) in a mixture of acetonitrile-water to yield 3(S)-[1(R)-(tert-butyldimethylsilyloxy)ethyl]azetidin-2-one (X). Compound (X) is stereoselectively converted to (3S,4R)-3-[1(R)-(tert-butyldimethylsilyloxy)ethyl]-4-acetoxyazetidin-2-one (XI) on treatment with peracetic acid and ruthenium(III) chloride. Compound (XI) and 4(S)-ethyl-3-propionyl-1,3-thiazolidine-2-thione (XII) give, on treatment with tin(II) trifluoromethanesulfonate, (3S,4R)-3-[1(R)-(tert-butyldimethysilyloxy)methyl]-4-[1(R)-[4(S)-ethyl-2-thioxo-1,3-thiazolidin-3-ylcarbonyl]ethyl]azetidin-2-one (XIII) as the major diastereoisomer. Reaction of (XIII) with imidazole in acetonitrile gives (3S,4R)-3-[1(R)-(tert-butyldimethylsilyloxy)ethyl]-4-[1(R)-(imidazol-1-ylcarbonyl)ethyl]azetidin-2-one (XIV), which is treated with Mg(O2CH2CO2PNB)2 in acetonitrile to yield (3S,4R)-3-[1(R)-(tert-butyldimethylsilyloxy)ethyl]-4-[1(R)-methyl-3-(p-nitrobenzyloxycarbonyl)-2-oxopropyl]azetidin-2-one (XV). Compound (XV) is deprotected with hydrochloric acid in methanol to give (3S,4R)-3-[1(R)-hydroxyethyl]-4-[1(R)-methyl-3-(p-nitrobenzyloxycarbonyl)-2-oxopropyl]azetidin-2-one (XVI), which on diazotization with dodecylbenzenesulfonyl azide in acetonitrile yields (3S,4R)-4-[3-diazo-1(R)-methyl-3-(p-nitrobenzyloxycarbonyl)-2-oxopropyl]-3-[1(R)-hydroxyethyl]azetidin-2-one (XVII). Treatment of compound (XVII) with rhodium(II) octanoate in ethylacetate gives p-nitrobenzyl (1R,5R,6S)-6-[1(R)-hydroxyethyl]-1-methyl-2-oxocarbapenam-3-carboxylate (XVIII), which is reacted with diphenylchlorophosphate and diisopropylethylamine to afford p-nitrobenzyl (1R,5R,6S)-2-[(diphenylphosphono)oxy]-6-[1(R)-hydroxyethyl]-1-methylcarbapen-2-em-3-carboxylate (XIX).

合成路线图解说明:

Compound (XIX) reacts with 4-mercapto-N,N-bis(p-nitrobenzyloxycarbonyl)pyrazolidine (XX) in the presence of diisopropylethylamine to give p-nitrobenzyl (1R,5R,6S)-2-[[N,N-bis(p-nitrobenzyloxycarbonyl)pyrazolidin-4-yl]thio]-6-[1(R)-hydroxyethyl]-1-methylcarbapen-2-em-3-carboxylate (XXIII). Compound (XXIII) is reduced with H2 over Pd/C to give (1R,5R,6S)-2-[[N,N-bis(p-nitrobenzyloxycarbonyl)pyrazolidin-4-yl]thio]-6-[1(R)-hydroxyethyl]-1-methylcarbapen-2-em-3-carboxylate (XXIV), which is finally reacted with ethylformimidate hydrochloride (XXV). Compound (XX) is obtained from epichlorohydrin (XXI) by treatment with hydrazine monohydrate followed by reaction with p-nitrobenzyloxycarbonyl chloride to give 4-hydroxy-N,N-bis(p-nitrobenzyloxycarbonyl)pyrazolidine (XXII), which is subsequently treated with methanesulfonyl chloride and triethylamine in dichloromethane, potassium acetate in acetone and sodium methoxide in methanol-THF. Compound (XX) can also be obtained from hydrazine hydrate using a longer alternative procedure.

合成路线图解说明:

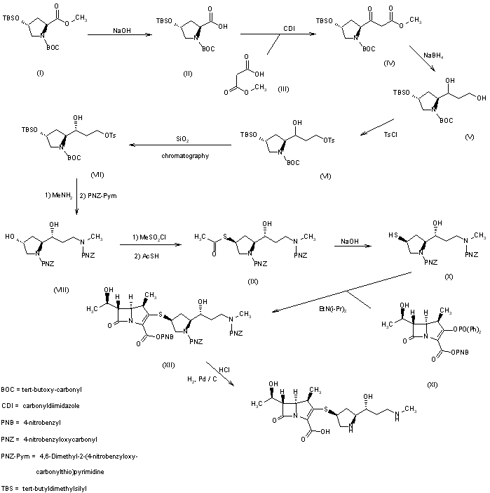
2) The acylation of hydrazine (I) with di-tert-butyl dicarbonate (II) gives 1,2-di(tert-butyloxycarbonyl)hydrazine (III), which is cyclized with 1,3-dibromo-2-(tert-butyldimethylsilyloxy)propane (IV) by means of NaH in DMF yielding the pyrazolidine (V). The desilylation of (V) with tetrabutylammonium fluoride in THF affords 1,2-di(tert-butoxycarbonyl)-4-hydroxypyrazolidine (VI). Acylation of (VI) with methanesulfonyl chloride in dichloromethane gives the corresponding mesylate (VII), which is condensed with 4-methoxybenzyl mercaptane (VIII) by means of butyllithium in hexane to yield the benzyl ether (IX). The cyclization of (IX) with methyl formimidate hydrochloride in methanol-water affords 6-(4-methoxybenzylthio)-6,7-dihydro-5H-pyrazolo[1,2-a][1,2,4]triazolium chloride (X), which is deprotected with trifluoroacetic acid giving 6-mercapto-6,7-dihydro-5H-pyrazolo[1,2-a][1,2,4]triazolium chloride (XI). Finally, this compound is condensed with (1R,5R,6S)-2-(diphenylphosphonooxy)-6-[1(R)-hydroxyethyl]-1-methyl-1-carba-2-penem-3-carboxylic acid 4-nitrobenzyl ester (XII) by means of diisopropylethylamine in DMF followed by hydrogenolysis with H2 over Pd/C in butanol-EtOAc-potassium phosphate buffer.

合成路线图解说明:

The hydrolysis of N-(tert-butoxycarbonyl)-4(R)-(tert-butyldimethylsilyloxy)-L-proline methyl ester (I) with NaOH gives the corresponding protected amino acid (II), which is condensed with malonic acid monomethyl ester (II) by means of carbonyldiimidazole (CDI) in THF to afford the L-prolylacetate (IV). The reduction of (IV) with NaBH4 in refluxing THF-methanol gives (2S,4R)-1-(tert-butoxycarbonyl)-4-(tert-butyldimethylsilyloxy)-2-(1,3-dihydroxypropyl)pyrrolidine (V), which is acylated with tosyl chloride to the primary monotosylate (VI). The chromatographic separation of (VI) over SiO2 yields the [2S(1'R),4R]-enantiomer (VII), which by treatment first with methylamine followed by 4,6-dimethyl-2-(4-nitrobenzyloxycarbonylthio)pyrimidine (PNZ-Pym) affords the N-protected methylamino derivative (VIII). The mesylation of (VIII) with methanesulfonyl chloride followed by reaction with potassium thioacetate gives (2S,4S)-4-acetylthio-2-[1(R)-hydroxy-3-(4-nitrobenzyloxycarbonylamino) propyl]-1-(4-nitrobenzyl)pyrrolidine (IX), which is treated with NaOH in methanol-water to afford the corresponding thiol (X). The condensation of (X) with (1R,5R,6S)-2-(diphenylphosphoryloxy)-6-[1(R)-hydroxyethyl]-1-methyl-1-carba-2-penem-3-carboxylic acid 4-nitrobenzyl ester (XI) by means of diisopropylethylamine in acetonitrile yields the protected compound (XII), which is finally hydrolyzed and deprotected by hydrogenation with H2 over Pd/C and treatment with HCl.

参考文献No.260666
标题:BO-2727
作者:Graul, A.; Rabasseda, X.; Casta馿r, J.; Prous, J.
来源:Drugs Fut 1994,19(8),731
合成路线图解说明:

The hydrolysis of N-(tert-butoxycarbonyl)-4(R)-(tert-butyldimethylsilyloxy)-L-proline methyl ester (I) with NaOH gives the corresponding protected amino acid (II), which is condensed with malonic acid monomethyl ester (II) by means of carbonyldiimidazole (CDI) in THF to afford the L-prolylacetate (IV). The reduction of (IV) with NaBH4 in refluxing THF-methanol gives (2S,4R)-1-(tert-butoxycarbonyl)-4-(tert-butyldimethylsilyloxy)-2-(1,3-dihydroxypropyl)pyrrolidine (V), which is acylated with tosyl chloride to the primary monotosylate (VI). The chromatographic separation of (VI) over SiO2 yields the [2S(1'R),4R]-enantiomer (VII), which by treatment first with methylamine followed by 4,6-dimethyl-2-(4-nitrobenzyloxycarbonylthio)pyrimidine (PNZ-Pym) affords the N-protected methylamino derivative (VIII). The mesylation of (VIII) with methanesulfonyl chloride followed by reaction with potassium thioacetate gives (2S,4S)-4-acetylthio-2-[1(R)-hydroxy-3-(4-nitrobenzyloxycarbonylamino) propyl]-1-(4-nitrobenzyl)pyrrolidine (IX), which is treated with NaOH in methanol-water to afford the corresponding thiol (X). The condensation of (X) with (1R,5R,6S)-2-(diphenylphosphoryloxy)-6-[1(R)-hydroxyethyl]-1-methyl-1-carba-2-penem-3-carboxylic acid 4-nitrobenzyl ester (XI) by means of diisopropylethylamine in acetonitrile yields the protected compound (XII), which is finally hydrolyzed and deprotected by hydrogenation with H2 over Pd/C and treatment with HCl.

参考文献No.431467
标题:1?Methyl-2-(5-substituted pyrrolidin-3-ylthio)carbapenems; 3. Synthesis and antibacterial activity of BO-2727 and its related compounds
作者:Ohtake, N.; Okamoto, O.; Mitomo, R.; Kato, Y.; Yamamoto, K.; Haga, Y.; Fukatsu, H.; Nakagawa, S.
来源:J Antibiot 1997,50(7),598
合成路线图解说明:

A new synthesis of BO-2727 has been described: The condensation of (2S,4R)-1-(tert-butoxycarbonyl)-4-(tert-butyldimethylsilyloxy)pyrrolidine-2-carbaldehyde (I) with ethyl acetate (II) by means of butyllithium and hexa-methyldisylazane (HMSA) in THF gives 3-[1-(tert-butoxycarbonyl)-4(R)-(tert-butyldimethylsilyloxy) pyrrolidin-2(S)-yl]-3-hydroxypropionic acid ethyl ester (III), which was submitted to column chromatography over silicagel yielding the pure 3(R)-hydroxypropionic acid (IV). The reduction of (IV) with NaBH4 in THF afforded the expected diol (V), which was treated with tosyl chloride and triethylamine to give the monotosylate (VI). The reaction of (VI) first with methylamine in methanol, and then with p-nitrobenzyloxycarbonyl chloride (PNZ-Cl) in the same solvent yielded (2S,4R)-2-[1(R)-hydroxy-3-[N-methyl-N-(p-nitrobenzyloxycarbonyl)amino]propyl] pyrrolidin-4-ol (VII). The reaction of (VII) first with SOCl2 and then with potassium thioacetate afforded the 4(R)-acetylsulfanyl derivative (VIII), which was hydrolyzed with NaOH in methanol/water to the corresponding thiol (IX). The condensation of (IX) with the carbapenem intermediate (X) by means of diisopropylethylamine (DIEA) in acetonitrile gave the precursor (protected) of BO-2727 (XI), which was finally deprotected by hydrogenation with H2 over Pd/C in THF/ethanol/pH-7 buffer.

Drug Information Express,Drug R&D,Chemical Database,Patent Search.
Copyright © 2006-2026 Drug Future. All rights reserved.Contact Us