【药物名称】Xanomeline, Hexyloxy-TZTP, NNC-11-0232, LY-246708, Lumeron, Memcor
化学结构式(Chemical Structure):
参考文献No.13035
标题:Piperidine cpds. and their preparation and use
作者:Sauerberg, P.; Olesen, P.H. (Ferrosan A/S)
来源:EP 0384288; US 5260311; US 5264444; US 5328925
合成路线图解说明:

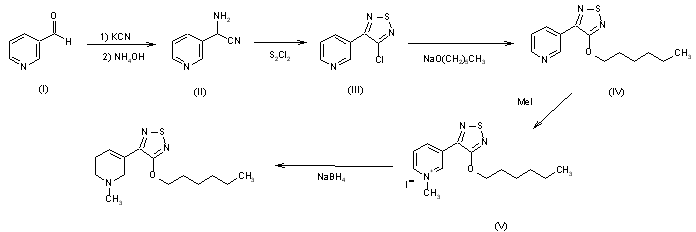
The reaction of pyridine-3-carbaldehyde (I) with KCN in acetic acid, followed by a treatment with NH4Cl in aqueous NH4OH yields 2-amino-2-(3-pyridyl)acetonitrile (II), which is cyclized to 3-chloro-4-(3-pyridyl)-1,2,5-thiadiazole (III) by a treatment with S2Cl2 in DMF. The reaction of (III) with sodium hexyloxide in hexanol yields 3-(hexyloxy)-4-(3-pyridyl)-1,2,5-thiadiazole (IV), which is treated with methyl iodide in acetone to afford the corresponding N-methylpyridinium salt (V). Finally, this compound is hydrogenated with NaBH4 in ethanol and salified with oxalic or L-tartaric acid in acetone or isopropanol.

参考文献No.24818
标题:Heterocyclic cpds. and their preparation and use
作者:Sauerberg, P.; Olesen, P.H.; Mitch, c.H. (Novo Nordisk A/S)
来源:EP 0687265; JP 1996507298; WO 9420495
合成路线图解说明:

The reaction of pyridine-3-carbaldehyde (I) with KCN in acetic acid, followed by a treatment with NH4Cl in aqueous NH4OH yields 2-amino-2-(3-pyridyl)acetonitrile (II), which is cyclized to 3-chloro-4-(3-pyridyl)-1,2,5-thiadiazole (III) by a treatment with S2Cl2 in DMF. The reaction of (III) with sodium hexyloxide in hexanol yields 3-(hexyloxy)-4-(3-pyridyl)-1,2,5-thiadiazole (IV), which is treated with methyl iodide in acetone to afford the corresponding N-methylpyridinium salt (V). Finally, this compound is hydrogenated with NaBH4 in ethanol and salified with oxalic or L-tartaric acid in acetone or isopropanol.

参考文献No.32677
标题:Heterocyclic chemistry
作者:Osborne, L.M.; Shipley, L.A.; Treppendahl, S.; Petersen, T.G. (Novo Nordisk A/S)
来源:US 5834495; WO 9429303
合成路线图解说明:

The reaction of pyridine-3-carbaldehyde (I) with KCN in acetic acid, followed by a treatment with NH4Cl in aqueous NH4OH yields 2-amino-2-(3-pyridyl)acetonitrile (II), which is cyclized to 3-chloro-4-(3-pyridyl)-1,2,5-thiadiazole (III) by a treatment with S2Cl2 in DMF. The reaction of (III) with sodium hexyloxide in hexanol yields 3-(hexyloxy)-4-(3-pyridyl)-1,2,5-thiadiazole (IV), which is treated with methyl iodide in acetone to afford the corresponding N-methylpyridinium salt (V). Finally, this compound is hydrogenated with NaBH4 in ethanol and salified with oxalic or L-tartaric acid in acetone or isopropanol.

参考文献No.222989
标题:Novel functional M1selective muscarinic agonists. Synthesis and structure-activity relationships of 3-(1,2,5-thiadiazolyl)-1,2,5,6-tetrahydro-1-methylpyridines
作者:Sauerberg, P.; Olesen, P.H.; Nielsen, S.; Treppendahl, S.P.; Sheardown, M.J.; Honore, T.; Mitch, C.H.; Ward, J.S.; Pike, A.J.; Bymaster, F.P.; et al.
来源:J Med Chem 1992,35(12),2274-83
合成路线图解说明:

The reaction of pyridine-3-carbaldehyde (I) with KCN in acetic acid, followed by a treatment with NH4Cl in aqueous NH4OH yields 2-amino-2-(3-pyridyl)acetonitrile (II), which is cyclized to 3-chloro-4-(3-pyridyl)-1,2,5-thiadiazole (III) by a treatment with S2Cl2 in DMF. The reaction of (III) with sodium hexyloxide in hexanol yields 3-(hexyloxy)-4-(3-pyridyl)-1,2,5-thiadiazole (IV), which is treated with methyl iodide in acetone to afford the corresponding N-methylpyridinium salt (V). Finally, this compound is hydrogenated with NaBH4 in ethanol and salified with oxalic or L-tartaric acid in acetone or isopropanol.

参考文献No.372353
标题:Xanomeline
作者:Graul, A.; Casta馿r, J.
来源:Drugs Fut 1996,21(9),911
合成路线图解说明:

The reaction of pyridine-3-carbaldehyde (I) with KCN in acetic acid, followed by a treatment with NH4Cl in aqueous NH4OH yields 2-amino-2-(3-pyridyl)acetonitrile (II), which is cyclized to 3-chloro-4-(3-pyridyl)-1,2,5-thiadiazole (III) by a treatment with S2Cl2 in DMF. The reaction of (III) with sodium hexyloxide in hexanol yields 3-(hexyloxy)-4-(3-pyridyl)-1,2,5-thiadiazole (IV), which is treated with methyl iodide in acetone to afford the corresponding N-methylpyridinium salt (V). Finally, this compound is hydrogenated with NaBH4 in ethanol and salified with oxalic or L-tartaric acid in acetone or isopropanol.

Drug Information Express,Drug R&D,Chemical Database,Patent Search.
Copyright © 2006-2026 Drug Future. All rights reserved.Contact Us