【药物名称】Lurtotecan, OSI-211(Liposomal formulation), NX-211(Liposomal formulation), GW-211, GG-211, GI-147211C(diHCl), GI-147211
化学结构式(Chemical Structure):
参考文献No.20798
标题:Water soluble camptothecin derivs.
作者:Luzzio, M.J.; Besterman, J.M.; Evans, M.G.; Myers, P.L. (GlaxoSmithKline plc)
来源:EP 0540099; JP 1993222048; JP 2000109475; US 5559235
合成路线图解说明:

Benzodioxan-6-amine (I) was protected as the corresponding acetanilide (II), which was subsequently subjected to Friedel-Crafts condensation with chloroacetyl chloride (III) in the presence of ZnCl2, yielding the chloro ketone (IV). Acidic hydrolysis of the acetamide function of (IV) provided amino ketone (V). Alternatively, intermediate (V) was prepared by direct acylation of aniline (I) employing chloroacetonitrile (VI) in the presence of BCl3. The 7-(chloromethyl)camptothecin derivative (VIII) was synthesized through a Friedlander condensation between amino ketone (V) and the known keto lactone (VII). Finally, displacement of the chloride of (VIII) with N-methylpiperazine (IX) gave rise to the title piperazinylmethyl camptothecin.

参考文献No.57066
标题:Intermediates in pharmaceutical camptothecin preparation
作者:Fang, F.G.; Xie, S.; Lowery, M.W. (GlaxoSmithKline Inc.)
来源:WO 9529917
合成路线图解说明:

In a different strategy, the dioxinoquinoline system (XII) was prepared by acylation of amino ketone (X) with methyl malonyl chloride (XI), followed by intramolecular Knoevenagel condensation of the intermediate keto malonamide. Chlorination of (XII) with POCl3 afforded the dichloro derivative (XIII), which was subsequently condensed with N-methylpiperazine (IX) to give (XIV). Reduction of the ester group of (XIV) by means of DIBAL provided alcohol (XV). Replacement of the 7-chloro of (XV) by an iodide group required previous oxidation of (XV) to the more reactive aldehyde (XVI). Treatment of (XVI) with NaI and HCl led to the corresponding iodo aldehyde, which was further reduced to alcohol (XVII) using NaBH4.

合成路线图解说明:

Lithiation of 2-methoxypyridine (XVIII), followed by formylation with N-formyl-N,N',N'-trimethylethylenediamine (XIX), produced the pyridine carbaldehyde (XX), which was further iodinated to (XXI) by lithiation and subsequent treatment with iodine. Reductive condensation of aldehyde (XXI) with crotyl alcohol (XXII) in the presence of triethylsilane and trifluoroacetic acid yielded the crotyl ether (XXIII). Cyclization of (XXIII) under Heck reaction conditions led to a mixture of the ethylidene pyranopyridine (XXIV) and the major isomerized analogue (XXV). Sharpless asymmetric dihydroxylation of this reaction mixture afforded the alpha-hydroxy lactol (XXVI), which was further oxidixed to hydroxy lactone (XXVII) employing iodine and CaCO3. Demethylation of ether (XXVII) under acidic conditions generated lactam (XXVIII). Mitsunobu coupling between lactam (XXVIII) and (hydroxymethyl)quinoline (XVII) furnished adduct (XXIX). The title compound was finally obtained by Heck cyclization of (XXIX) in the presence of palladium acetate and triphenylphosphine.

参考文献No.57067
标题:Preparation of a camptothecin deriv. by intramolecular cyclisation
作者:Huie, E.M.; Fang, F.G.; Xie, S.; Comins, D.L. (GlaxoSmithKline Inc.; North Carolina State University)
来源:WO 9529919
合成路线图解说明:

In a different strategy, the dioxinoquinoline system (XII) was prepared by acylation of amino ketone (X) with methyl malonyl chloride (XI), followed by intramolecular Knoevenagel condensation of the intermediate keto malonamide. Chlorination of (XII) with POCl3 afforded the dichloro derivative (XIII), which was subsequently condensed with N-methylpiperazine (IX) to give (XIV). Reduction of the ester group of (XIV) by means of DIBAL provided alcohol (XV). Replacement of the 7-chloro of (XV) by an iodide group required previous oxidation of (XV) to the more reactive aldehyde (XVI). Treatment of (XVI) with NaI and HCl led to the corresponding iodo aldehyde, which was further reduced to alcohol (XVII) using NaBH4.

合成路线图解说明:

Lithiation of 2-methoxypyridine (XVIII), followed by formylation with N-formyl-N,N',N'-trimethylethylenediamine (XIX), produced the pyridine carbaldehyde (XX), which was further iodinated to (XXI) by lithiation and subsequent treatment with iodine. Reductive condensation of aldehyde (XXI) with crotyl alcohol (XXII) in the presence of triethylsilane and trifluoroacetic acid yielded the crotyl ether (XXIII). Cyclization of (XXIII) under Heck reaction conditions led to a mixture of the ethylidene pyranopyridine (XXIV) and the major isomerized analogue (XXV). Sharpless asymmetric dihydroxylation of this reaction mixture afforded the alpha-hydroxy lactol (XXVI), which was further oxidixed to hydroxy lactone (XXVII) employing iodine and CaCO3. Demethylation of ether (XXVII) under acidic conditions generated lactam (XXVIII). Mitsunobu coupling between lactam (XXVIII) and (hydroxymethyl)quinoline (XVII) furnished adduct (XXIX). The title compound was finally obtained by Heck cyclization of (XXIX) in the presence of palladium acetate and triphenylphosphine.

参考文献No.57068
标题:Preparation of water soluble camptothecin derivs.
作者:Sternbach, D.D.; Lackey, K. (GlaxoSmithKline Inc.)
来源:US 5342947
合成路线图解说明:

Benzodioxan-6-amine (I) was protected as the corresponding acetanilide (II), which was subsequently subjected to Friedel-Crafts condensation with chloroacetyl chloride (III) in the presence of ZnCl2, yielding the chloro ketone (IV). Acidic hydrolysis of the acetamide function of (IV) provided amino ketone (V). Alternatively, intermediate (V) was prepared by direct acylation of aniline (I) employing chloroacetonitrile (VI) in the presence of BCl3. The 7-(chloromethyl)camptothecin derivative (VIII) was synthesized through a Friedlander condensation between amino ketone (V) and the known keto lactone (VII). Finally, displacement of the chloride of (VIII) with N-methylpiperazine (IX) gave rise to the title piperazinylmethyl camptothecin.

参考文献No.57069
标题:Method for preparing camptothecin derivs.
作者:Fang, F.G.; Xie, S. (GlaxoSmithKline Inc.)
来源:WO 9716454
合成路线图解说明:

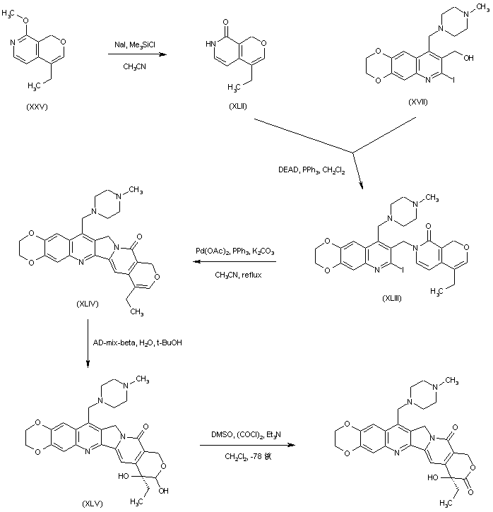
In a further procedure, hydrolysis of the methoxy pyranopyridine (XXV) employing iodotrimethylsilane gave lactam (XLII). This was condensed with the (hydroxymethyl)quinoline (XVII) under Mitsunobu conditions to afford adduct (XLIII). The hexacyclic system (XLIV) was then obtained by intramolecular Heck condensation of (XLIII) using palladium acetate and triphenylphosphine. Asymmetric dihydroxylation of (XLIV) yielded the alpha-hydroxy lactol (XLV). Finally, Swern oxidation of lactol (XLV) furnished the title lactone.

参考文献No.298040
标题:Synthesis and antitumor activity of novel water soluble derivatives of camptothecin as specific inhibitors of topoisomerase I
作者:Luzzio, M.J.; Besterman, J.M.; Emerson, D.L.; Evans, M.G.; Lackey, K.; Leitner, P.L.; McIntyre, G.; Morton, B.; Myers, P.L.; Peel, M.R.; et al.
来源:J Med Chem 1995,38(3),395
合成路线图解说明:

Benzodioxan-6-amine (I) was protected as the corresponding acetanilide (II), which was subsequently subjected to Friedel-Crafts condensation with chloroacetyl chloride (III) in the presence of ZnCl2, yielding the chloro ketone (IV). Acidic hydrolysis of the acetamide function of (IV) provided amino ketone (V). Alternatively, intermediate (V) was prepared by direct acylation of aniline (I) employing chloroacetonitrile (VI) in the presence of BCl3. The 7-(chloromethyl)camptothecin derivative (VIII) was synthesized through a Friedlander condensation between amino ketone (V) and the known keto lactone (VII). Finally, displacement of the chloride of (VIII) with N-methylpiperazine (IX) gave rise to the title piperazinylmethyl camptothecin.

参考文献No.465180
标题:Convergent catalytic asymmetric synthesis of camptothecin analog GI147211C
作者:Fang, F.G.; et al.
来源:Tetrahedron 1997,53(32),10953
合成路线图解说明:

Lithiation of 2-methoxypyridine (XVIII), followed by formylation with N-formyl-N,N',N'-trimethylethylenediamine (XIX), produced the pyridine carbaldehyde (XX), which was further iodinated to (XXI) by lithiation and subsequent treatment with iodine. Reductive condensation of aldehyde (XXI) with crotyl alcohol (XXII) in the presence of triethylsilane and trifluoroacetic acid yielded the crotyl ether (XXIII). Cyclization of (XXIII) under Heck reaction conditions led to a mixture of the ethylidene pyranopyridine (XXIV) and the major isomerized analogue (XXV). Sharpless asymmetric dihydroxylation of this reaction mixture afforded the alpha-hydroxy lactol (XXVI), which was further oxidixed to hydroxy lactone (XXVII) employing iodine and CaCO3. Demethylation of ether (XXVII) under acidic conditions generated lactam (XXVIII). Mitsunobu coupling between lactam (XXVIII) and (hydroxymethyl)quinoline (XVII) furnished adduct (XXIX). The title compound was finally obtained by Heck cyclization of (XXIX) in the presence of palladium acetate and triphenylphosphine.

参考文献No.694633
标题:A general synthetic approach to the (20S)-camptothecin family of antitumor agents by a regiocontrolled cascade radical cyclization of aryl isonitriles
作者:Josien, H.; et al.
来源:Chemistry (Weinheim) 1998,4(1),67
合成路线图解说明:

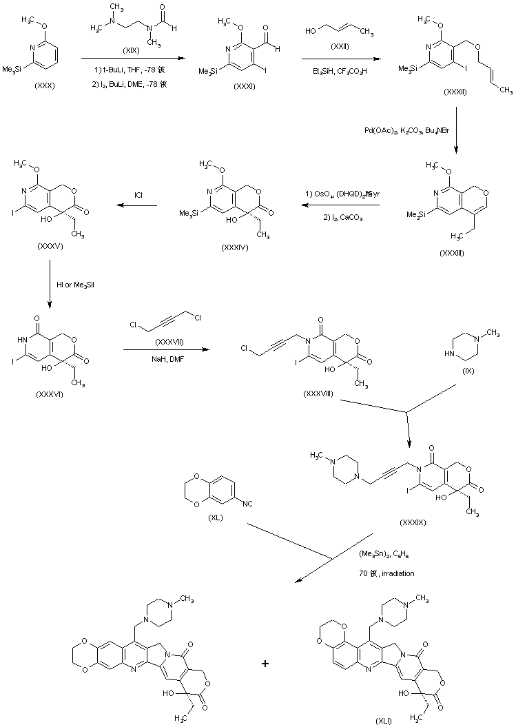
The silylated pyranopyridine (XXXIV) was prepared by an analoguos route to that of Scheme 3 starting from 2-methoxy-6-(trimethylsilyl)pyridine (XXX). Halogenation-desilylation of (XXXIV) by means of ICl-furnished iodide (XXXV). Subsequent demethylation of (XXXV) to give lactam (XXXVI) was performed employing either aqueous HI or iodotrimethylsane. Alkylation of lactam (XXXVI) with 1,4-dichloro-2-butyne (XXXVII) to (XXXVIII), followed by reaction with piperazine (IX), yielded (XXXIX). The cascade radical cyclization of (XXXIX) with isonitrile (XL) under sunlamp irradiation in the presence of hexamethyldistannane led to an inseparable mixture of the title compound and its regioisomer (XLI).

参考文献No.694634
标题:Cascade radical reactions of isonitriles: A second-generation synthesis of (20S)-camptothecin, topotecan, irinotecan, and GI-147211C
作者:Curran, D.P.; et al.
来源:Angew Chem. Int Ed Engl 1995,34(23-24),2683
合成路线图解说明:

The silylated pyranopyridine (XXXIV) was prepared by an analoguos route to that of Scheme 3 starting from 2-methoxy-6-(trimethylsilyl)pyridine (XXX). Halogenation-desilylation of (XXXIV) by means of ICl-furnished iodide (XXXV). Subsequent demethylation of (XXXV) to give lactam (XXXVI) was performed employing either aqueous HI or iodotrimethylsane. Alkylation of lactam (XXXVI) with 1,4-dichloro-2-butyne (XXXVII) to (XXXVIII), followed by reaction with piperazine (IX), yielded (XXXIX). The cascade radical cyclization of (XXXIX) with isonitrile (XL) under sunlamp irradiation in the presence of hexamethyldistannane led to an inseparable mixture of the title compound and its regioisomer (XLI).

Drug Information Express,Drug R&D,Chemical Database,Patent Search.
Copyright © 2006-2026 Drug Future. All rights reserved.Contact Us