【药物名称】
化学结构式(Chemical Structure):
参考文献No.485968
标题:Studies of nonpeptide angiotensin II receptor antagonists. III. Synthesis and biological evaluation of 5-alkylidine-3,5-dihydro-4H-imidazol-4-one derivatives
作者:Okazaki, T.; Kikuchi, K.; Watanabe, T.; Suga, A.; Shibasaki, M.; Fujimori, A.; Inagaki, O.; Yanagisawa, I.
来源:Chem Pharm Bull 1998,46(5),777
合成路线图解说明:

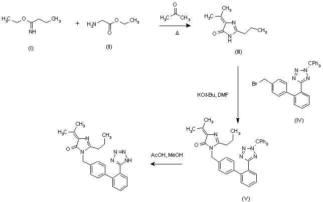
Condensation of imidate (I) with glycine ethyl ester (II) in refluxing acetone yielded imidazolone (III). Subsequent alkylation with N-triphenylmethyl-5-[4'-bromomethyl)biphenyl-2-yl]tetrazole (IV) in the presence of potassium tert-butoxide in cold DMF provided (V), which was finally deprotected by refluxing in a methanolic solution of AcOH to afford the title compound.

Drug Information Express,Drug R&D,Chemical Database,Patent Search.
Copyright © 2006-2026 Drug Future. All rights reserved.Contact Us