【药物名称】GS-7904, OSI-7904, GW-1843U89, GW-1843, BW-1843U89, 1843U89
化学结构式(Chemical Structure):
参考文献No.16535
标题:Pharmaceutically active benzoquinazoline cpds.
作者:Pendergast, W.; Dickerson, S.H.; Johnson, J.V.; Ferone, R. (GlaxoSmithKline plc)
来源:EP 0535034; EP 1199307; JP 1993507704; US 5405851; US 5663337; US 6306865; WO 9119700
合成路线图解说明:

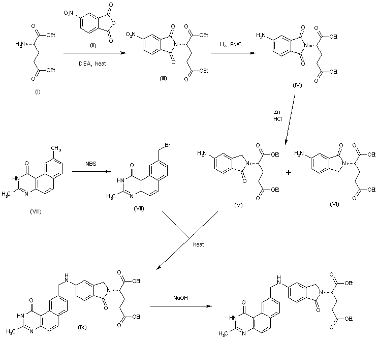
The condensation of L-glutamic acid diethyl ester (I) with 4-nitrophthalic anhydride (II) by means of DIEA in refluxing toluene gives the 4-nitrophthalimide (III), which is reduced with H2 over Pd/C to yield the 4-aminophthalimide (IV). The reduction of (IV) with Zn/HCl in ethanol affords a 3:1 mixture of the 5-aminoisoindolinone (V) and 6-aminoisoindolinone (VI) that is separated by chromatography. The desired isomer (V) is condensed with 9-(bromomethyl)-3-methylbenzo[f]quinazolin-1(2H)-one (VII) (obtained by bromination of 3,9-dimethylbenzo[f]quinazolin-1(2H)-one (VIII) with NBS) in DMF at 110?C to provide the precursor (IX). Finally, the ester groups of (IX) are hydrolyzed with NaOH in methanol.

参考文献No.248898
标题:Benzo[f]quinazoline inhibitors of thymidylate synthase: Methyleneamino-linked aroylglutamate derivatives
作者:Pendergast, W.; Dickerson, S.H.; Dev, I.K.; Ferone, R.; Duch, D.S.; Smith, G.K.
来源:J Med Chem 1994,37(6),838
合成路线图解说明:

The condensation of L-glutamic acid diethyl ester (I) with 4-nitrophthalic anhydride (II) by means of DIEA in refluxing toluene gives the 4-nitrophthalimide (III), which is reduced with H2 over Pd/C to yield the 4-aminophthalimide (IV). The reduction of (IV) with Zn/HCl in ethanol affords a 3:1 mixture of the 5-aminoisoindolinone (V) and 6-aminoisoindolinone (VI) that is separated by chromatography. The desired isomer (V) is condensed with 9-(bromomethyl)-3-methylbenzo[f]quinazolin-1(2H)-one (VII) (obtained by bromination of 3,9-dimethylbenzo[f]quinazolin-1(2H)-one (VIII) with NBS) in DMF at 110?C to provide the precursor (IX). Finally, the ester groups of (IX) are hydrolyzed with NaOH in methanol.

Drug Information Express,Drug R&D,Chemical Database,Patent Search.
Copyright © 2006-2026 Drug Future. All rights reserved.Contact Us