【药物名称】LAP-977, SDZ-281-977, SDZ-LAP-977
化学结构式(Chemical Structure):
参考文献No.562903
标题:An efficient large-scale synthesis of methyl 5-[2-82,5-dimethoxyphenyl)ethyl]-2-hydroxybenzoate
作者:Kucerovy, A.; et al.
来源:Org Process Res Dev 1997,1(4),287
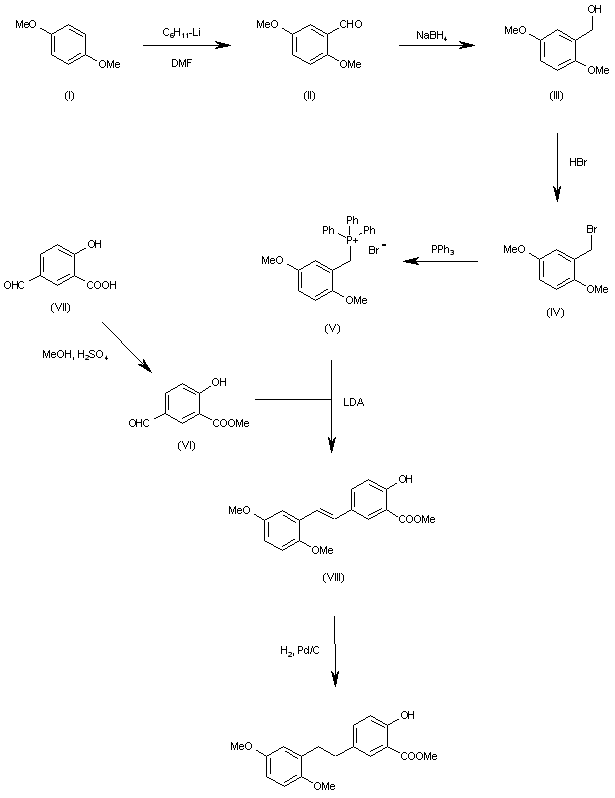
合成路线图解说明:

The formylation of 1,4-dimethoxybenzene (I) with C6H11-Li, TMEDA and DMF gives 2,5-dimethoxybenzaldehyde (II), which is reduced with NaBH4 to the corresponding alcohol (III). The treatment of (III) with HBr affords the benzyl bromide (IV), which by reaction with PPh3 in hot toluene is converted into the phosphonium salt (V). The condensation of (V) with 5-formyl-2-hydroxybenzoic acid methyl ester (VI)(obtained by esterification of the corresponding acid (VII) with methanol and H2SO4) by means of LDA in THF affords the stilbene (VIII). Finally, this compound is reduced with H2 over Pd/C in ethyl acetate.

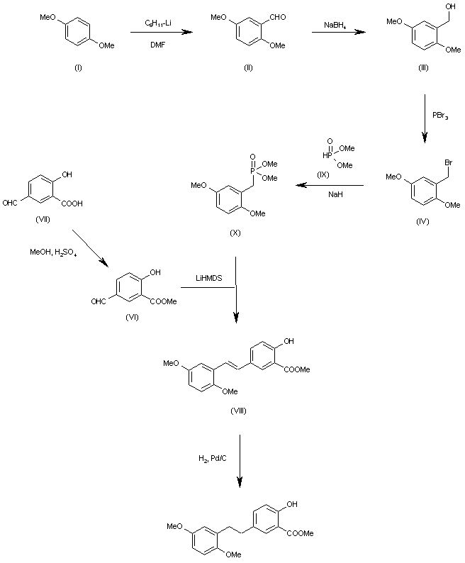
合成路线图解说明:

Improved large scale synthesis: The formylation of 1,4-dimethoxybenzene (I) with C6H11-Li, TMEDA and DMF gives 2,5-dimethoxybenzaldehyde (II), which is reduced with NaBH4 in toluene/methanol to the corresponding alcohol (III). The treatment of (III) with PBr3 in ethyl acetate affords the benzyl bromide (IV), which by reaction with dimethyl phosphite (IX) and NaH in toluene is converted into the phosphonate (X). The condensation of (X) with 5-formyl-2-hydroxybenzoic acid methyl ester (VI)(obtained by esterification of the corresponding acid (VII) with methanol and H2SO4) by means of LiHMDS in THF affords the stilbene (VIII). Finally, this compound is reduced with H2 over Pd/C in ethyl acetate.

Drug Information Express,Drug R&D,Chemical Database,Patent Search.
Copyright © 2006-2026 Drug Future. All rights reserved.Contact Us