【药物名称】Revatropate, UK-112166-04(hydrobromide), UK-112166
化学结构式(Chemical Structure):
参考文献No.20544
标题:Quinuclidine esters process and intermediate for their preparation and pharmaceutical compsns. containing them
作者:Cross, P.E.; Stobie, A. (Pfizer Inc.)
来源:EP 0603229; JP 1994510991; JP 1997315970; WO 9306098
合成路线图解说明:

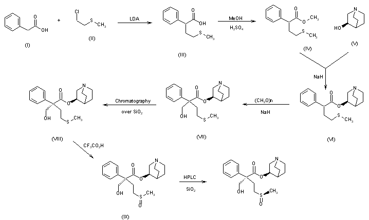
The alkylation of 2-phenylacetic acid (I) with 2-chloroethyl(methyl)sulfide (II) by means of lithium diisopropylamide (LDA) in THF gives 4-(methylsulfanyl)-2-phenylbutyric acid (III), which is esterified with methanol/H2SO4 yielding the methyl ester (IV). The transesterification of (IV) with quinuclidin-3(R)-ol (V) by means of NaH in refluxing toluene affords the 3(R)-quinuclidinyl ester (VI), which is hydroxymethylated with paraformaldehyde and NaH in DMF giving 2(RS)-(hydroxymethyl)-4-(methylsulfanyl)-2-phenylbutyric acid 3(R)-quinuclidinyl ester (VII) as a diastereomeric mixture. Chromatographic separation of (VII) over SiO2 using CHCl3/methanol/NH4OH as a gradient elution yields the 2(S)-hydroxymethyl isomer (VIII), which is oxidized with trifluoroperacetic acid in trifluoroacetic acid affording the corresponding sulfinyl derivative (IX) as a new diastereomeric mixture. Finally, this mixture is resolved by HPLC over Kromasil C-8 SiO2 using as eluant water/acetonitrile containing 1% trifluoroacetic acid.

参考文献No.394838
标题:Revatropate
作者:Martel, A.M.; Rabasseda, X.; Casta馿r, J.
来源:Drugs Fut 1997,22(2),135
合成路线图解说明:

The alkylation of 2-phenylacetic acid (I) with 2-chloroethyl(methyl)sulfide (II) by means of lithium diisopropylamide (LDA) in THF gives 4-(methylsulfanyl)-2-phenylbutyric acid (III), which is esterified with methanol/H2SO4 yielding the methyl ester (IV). The transesterification of (IV) with quinuclidin-3(R)-ol (V) by means of NaH in refluxing toluene affords the 3(R)-quinuclidinyl ester (VI), which is hydroxymethylated with paraformaldehyde and NaH in DMF giving 2(RS)-(hydroxymethyl)-4-(methylsulfanyl)-2-phenylbutyric acid 3(R)-quinuclidinyl ester (VII) as a diastereomeric mixture. Chromatographic separation of (VII) over SiO2 using CHCl3/methanol/NH4OH as a gradient elution yields the 2(S)-hydroxymethyl isomer (VIII), which is oxidized with trifluoroperacetic acid in trifluoroacetic acid affording the corresponding sulfinyl derivative (IX) as a new diastereomeric mixture. Finally, this mixture is resolved by HPLC over Kromasil C-8 SiO2 using as eluant water/acetonitrile containing 1% trifluoroacetic acid.

Drug Information Express,Drug R&D,Chemical Database,Patent Search.
Copyright © 2006-2026 Drug Future. All rights reserved.Contact Us