【药物名称】Azimilide hydrochloride, NE-10064, Stedicor
化学结构式(Chemical Structure):
参考文献No.20346
标题:Novel 4-oxocyclic ureas useful as antiarrhythmic and antifibrillatory agents
作者:Pelosi, S.S. Jr.; Yu, C.-NN.; Calcagno, M.A. (The Procter & Gamble Co.)
来源:EP 0598061; JP 1994509804; US 5462940; WO 9304061
合成路线图解说明:

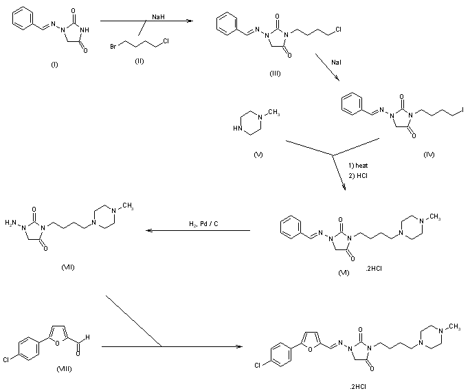
The condensation of 1-(benzylideneamino)imidazolidine-2,4-dione (I) with 1-bromo-4-chlorobutane (II) by means of NaH in DMF at 100 C yields 1-(benzylideneamino)-3-(4-chlorobutyl)imidazolidine-2,4-dione (III), which is treated with NaI in refluxing acetone affording the corresponding 4-iodobutyl derivative (IV). The thermal condensation of (IV) with 1-methylpiperazine (V) in refluxing DMF gives the expected condensation product (VI), which is debenzylated by hydrogenation with H2 over Pd/C in 2N HCl giving 1-amino-3-[4-(4-methylpiperazin-1-yl)butyl]imidazolidine-2,4-dione (VII). Finally, this compound is condensed with 5-(4-chlorophenyl)furan-2-carbaldehyde (VIII) in DMF at room temperature.

参考文献No.410775
标题:Azimilide Hydrochloride
作者:Robinson, C.P.; Robinson, K.A.; Casta馿r, J.
来源:Drugs Fut 1997,22(6),601
合成路线图解说明:

The condensation of 1-(benzylideneamino)imidazolidine-2,4-dione (I) with 1-bromo-4-chlorobutane (II) by means of NaH in DMF at 100 C yields 1-(benzylideneamino)-3-(4-chlorobutyl)imidazolidine-2,4-dione (III), which is treated with NaI in refluxing acetone affording the corresponding 4-iodobutyl derivative (IV). The thermal condensation of (IV) with 1-methylpiperazine (V) in refluxing DMF gives the expected condensation product (VI), which is debenzylated by hydrogenation with H2 over Pd/C in 2N HCl giving 1-amino-3-[4-(4-methylpiperazin-1-yl)butyl]imidazolidine-2,4-dione (VII). Finally, this compound is condensed with 5-(4-chlorophenyl)furan-2-carbaldehyde (VIII) in DMF at room temperature.

Drug Information Express,Drug R&D,Chemical Database,Patent Search.
Copyright © 2006-2026 Drug Future. All rights reserved.Contact Us