【药物名称】Nolpitantium besilate, SR-140333B, SR-140333A(chloride), SR-140333(cation)
化学结构式(Chemical Structure):
参考文献No.23358
标题:Quaternary basic amides as tachykinines antagonists
作者:Emonds-Alt, X.; Gueule, P.; Proietto, V.; Van Broeck, D. (Sanofi-Synth閘abo)
来源:EP 0591040; FR 2696178; JP 1998175976; US 5583134; US 5712288
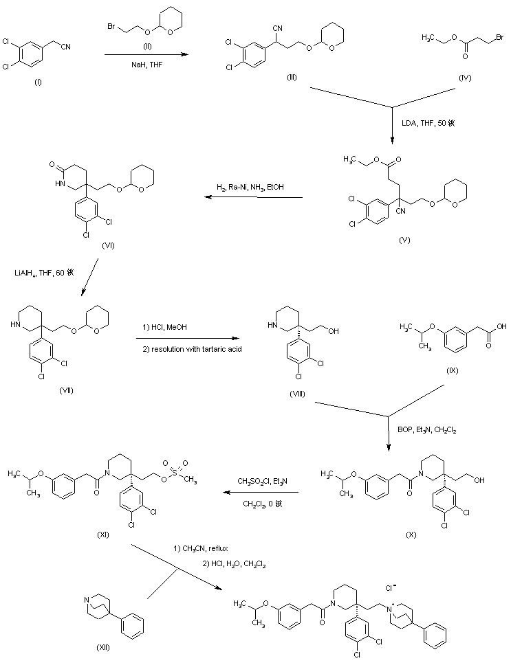
合成路线图解说明:

Alkylation of 3,4-dichlorophenylacetonitrile (I) with 2-(tetrahydropyranyloxy)ethyl bromide (II) in the presence of NaH in THF afforded nitrile (III). This was further alkylated with ethyl 3-bromopropionate (IV) using LDA to produce the cyano ester adduct (V). Catalytic hydrogenation of the cyano group of (V) in the presence of Raney-nickel, with concomitant intramolecular cyclization of the intermediate amino ester, gave rise to the piperidinone (VI). This was further reduced to piperidine (VII) using LiAlH4 in THF. After acidic deprotection of the tetrahydropyranyl group of (VII), the racemic amine was resolved by means of tartaric acid to furnish the desired enantiomer (VIII). Acylation of piperidine (VIII) with 3-isopropoxyphenylacetic acid (IX) employing BOP as the coupling reagent yielded amide (X). Conversion of (X) to the mesylate (XI) was carried out by treatment with methanesulfonyl chloride and Et3N. Then, N-alkylation of 4-phenylquinuclidine (XII) with mesylate (XI) produced the corresponding ammonium salt, which was finally subjected to anion exchange of the mesylate for a chloride group by treatment with HCl.

Drug Information Express,Drug R&D,Chemical Database,Patent Search.
Copyright © 2006-2026 Drug Future. All rights reserved.Contact Us