【药物名称】CYC-682, CS-682
化学结构式(Chemical Structure):
参考文献No.20512
标题:Pyrimidine nucleoside derivs. having anti-tumor activity, their preparation and use
作者:Kaneko, M.; Hotoda, H.; Shibata, T.; Kobayashi, T.; Mitsuhashi, Y.; Matsuda, A.; Sasaki, T. (Sankyo Co., Ltd.)
来源:EP 0536936; JP 1993194497; US 5691319
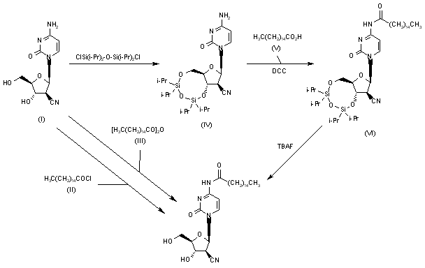
合成路线图解说明:

CS-682 has been synthesized by several related ways: 1) By acylation of 2'-cyano-2'-deoxy-1-(beta-D-arabinofuranosyl)cytosine (I) with hexadecanoyl chloride (II) and trimethylsilyl chloride in pyridine. 2) By acylation of 2'-cyano-2'-deoxy-1-(beta-D-arabinofuranosyl)cytosine (I) with hexadecanoyl anhydride (III) in hot DMF. 3) The protection of the OH groups of 2'-cyano-2'-deoxy-1-(beta-D-arabinofuranosyl)cytosine (I) with 1,3-dichloro-1,1,3,3-tetraisopropyldisiloxane in pyridine gives the 3',5'-cyclic disiloxane (IV), which is acylated by means of hexadecanoic acid (V) and DCC in THF, yielding the silylated compound (VI). Finally, this compound is deprotected with tetrabutylammonium fluoride (TBAF) in acetic acid.

合成路线图解说明:

4) The acylation of cytidine (VII) with hexadecanoyl anhydride (III) in hot DMF gives N-4-hexadecanoylcytidine (VIII), which is protected with 1,3-dichloro-1,1,3,3-tetraisopropyldisiloxane in pyridine, yielding the 3',5'-cyclic disiloxane (IX). The oxidation of (IX) with pyridinium dichromate in dichloromethane affords the ketonic derivative (X), which is treated with NaCN in ethyl acetate/phosphate buffer to give 2'-C-cyano-N4-hexadecanoyl-3',5'-O-(1,1,3,3-tetraisopropyldisiloxane-1,3-diyl)cytidine (XI). The reaction of (XI) with phenoxythiocarbonyl chloride and DMAP in triethylamine provides the thiocarbonate (XII), which is reduced with AIBN and tributyltin in refluxing toluene to give the 2'-deoxy compound (VI). Finally, this compound is desilylated with TBAF in acetic acid.

参考文献No.549093
标题:CS-682
作者:Casta馿r, J.; Hoshi, A.
来源:Drugs Fut 1999,24(9),957
合成路线图解说明:

CS-682 has been synthesized by several related ways: 1) By acylation of 2'-cyano-2'-deoxy-1-(beta-D-arabinofuranosyl)cytosine (I) with hexadecanoyl chloride (II) and trimethylsilyl chloride in pyridine. 2) By acylation of 2'-cyano-2'-deoxy-1-(beta-D-arabinofuranosyl)cytosine (I) with hexadecanoyl anhydride (III) in hot DMF. 3) The protection of the OH groups of 2'-cyano-2'-deoxy-1-(beta-D-arabinofuranosyl)cytosine (I) with 1,3-dichloro-1,1,3,3-tetraisopropyldisiloxane in pyridine gives the 3',5'-cyclic disiloxane (IV), which is acylated by means of hexadecanoic acid (V) and DCC in THF, yielding the silylated compound (VI). Finally, this compound is deprotected with tetrabutylammonium fluoride (TBAF) in acetic acid.

合成路线图解说明:

4) The acylation of cytidine (VII) with hexadecanoyl anhydride (III) in hot DMF gives N-4-hexadecanoylcytidine (VIII), which is protected with 1,3-dichloro-1,1,3,3-tetraisopropyldisiloxane in pyridine, yielding the 3',5'-cyclic disiloxane (IX). The oxidation of (IX) with pyridinium dichromate in dichloromethane affords the ketonic derivative (X), which is treated with NaCN in ethyl acetate/phosphate buffer to give 2'-C-cyano-N4-hexadecanoyl-3',5'-O-(1,1,3,3-tetraisopropyldisiloxane-1,3-diyl)cytidine (XI). The reaction of (XI) with phenoxythiocarbonyl chloride and DMAP in triethylamine provides the thiocarbonate (XII), which is reduced with AIBN and tributyltin in refluxing toluene to give the 2'-deoxy compound (VI). Finally, this compound is desilylated with TBAF in acetic acid.

Drug Information Express,Drug R&D,Chemical Database,Patent Search.
Copyright © 2006-2026 Drug Future. All rights reserved.Contact Us