【药物名称】
化学结构式(Chemical Structure):
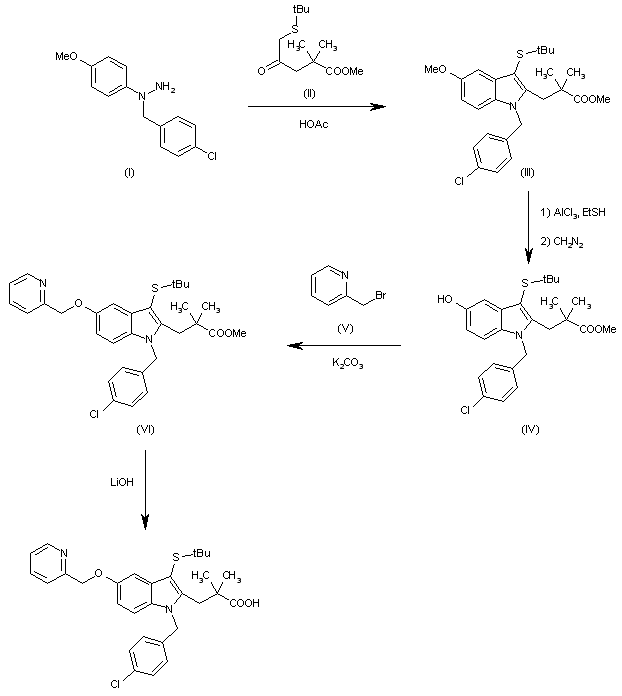
参考文献No.227295
标题:Substituted thiopyrano[2,3,4-c,d]indoles as potent, selective, and orally active inhibitors of 5-lipoxygenase. Synthesis and biological evaluation of L-691,816
作者:Hutchinson, J.H.; Riendeau, D.; Brideau, C.; Chan, C.C.; Delorme, D.; Denis, D.; Falgueyret, J.P.; Fortin, R.; Guay, J.; Hamel, P.; et al.
来源:J Med Chem 1993,36(19),2771
合成路线图解说明:

The cyclization of substituted phenylhydrazine (I) with 5-(tert-butylsulfanyl)-2,2-dimethyl-4-oxopentanoic acid methyl ester (II) by means of AcOH/AcONa in toluene gives the indolylpropionic ester (III), which is demethylated with AlCl3 and ethanethiol in dichloromethane and reesterified with diazomethane yielding the hydroxy derivative (IV). The reaction of (IV) with 2-(bromomethyl)pyridine (V) by means of K2CO3 in DMF affords the ether (VI), which is finally hydrolyzed with LiOH to give the target propionic acid.

参考文献No.548042
标题:Substituted indoles as potent and orally active 5-lipoxygenase activating protein (FLAP) inhibitors
作者:Frenette, R.; Hutchinson, J.H.; L間er, S.; Therien, M.; Brideau, C.; Chan, C.C.; Charleson, S.; Ethier, D.; Guay, J.; Jones, T.R.; McAuliffe, M.; Piechuta, H.; Riendeau, D.; Tagari, P.; Girard, Y.
来源:Bioorg Med Chem Lett 1999,9(16),2391
合成路线图解说明:

The cyclization of substituted phenylhydrazine (I) with 5-(tert-butylsulfanyl)-2,2-dimethyl-4-oxopentanoic acid methyl ester (II) by means of AcOH/AcONa in toluene gives the indolylpropionic ester (III), which is demethylated with AlCl3 and ethanethiol in dichloromethane and reesterified with diazomethane yielding the hydroxy derivative (IV). The reaction of (IV) with 2-(bromomethyl)pyridine (V) by means of K2CO3 in DMF affords the ether (VI), which is finally hydrolyzed with LiOH to give the target propionic acid.

Drug Information Express,Drug R&D,Chemical Database,Patent Search.
Copyright © 2006-2026 Drug Future. All rights reserved.Contact Us