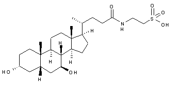
【药物名称】Tauroursodeoxycholic acid, Ursodeoxycholyltaurine, UR-906
化学结构式(Chemical Structure):
参考文献No.55738
标题:Process for preparing ursodeoxycholic acid derivates and their inorganic and organic salts having therapeutic activity
作者:Reiner, A. (SkyePharma AG)
来源:EP 0272462
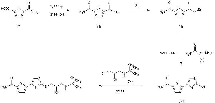
合成路线图解说明:

The reaction of 5-carboxy-2-acetylthiophene (I) first with SOCl2 in refluxing toluene, and then with aqueous ammonia gives 5-carbamoyl-2-acetylthiophene (II), which is brominated with Br2 in hot acetic acid yielding 5-carbamoyl-2-bromoacetylthiophene (III). The cyclization of (III) with ammonium dithiocarbamate (A) in refluxing methanol-DMF affords 2-mercapto-4-(5'-carbamoyl-2'-thienyl)thiazole (IV), which is finally condensed with 1-chloro-3-tert-butylaminoisopropanol (V) by means of NaOH in water methanol.

合成路线图解说明:

Ursodeoxycholic acid (I) was activated as the mixed anhydride (II) with ethyl chloroformate and triethylamine, and subsequently coupled with the triethylamine salt of taurine (III) to produce the title conjugated bile acid. Optionally, the mixed anhydride (II) was previously converted to the active phenol ester (V) by treatment with p-hydroxypropiophenone (IV), and subsequently condensed with taurine (III). Alternatively, ursodeoxycholic acid (I) was directly coupled to taurine (III) employing as the coupling reagents 2-isobutyl-N-isobutyloxycarbonyl-1,2-dihydroquinoline (IIDQ), diethylphosphorocyanidate (DEPC), or 2-ethoxy-N-ethoxycarbonyl-1,2-dihydroquinoline (EEDQ) under microwave irradiation.

参考文献No.55739
标题:Process for the preparation of taurine-conjugated bile acids
作者:Bonadi, A.; Molinari, E.
来源:EP 0582891
合成路线图解说明:

Ursodeoxycholic acid (I) was activated as the mixed anhydride (II) with ethyl chloroformate and triethylamine, and subsequently coupled with the triethylamine salt of taurine (III) to produce the title conjugated bile acid. Optionally, the mixed anhydride (II) was previously converted to the active phenol ester (V) by treatment with p-hydroxypropiophenone (IV), and subsequently condensed with taurine (III). Alternatively, ursodeoxycholic acid (I) was directly coupled to taurine (III) employing as the coupling reagents 2-isobutyl-N-isobutyloxycarbonyl-1,2-dihydroquinoline (IIDQ), diethylphosphorocyanidate (DEPC), or 2-ethoxy-N-ethoxycarbonyl-1,2-dihydroquinoline (EEDQ) under microwave irradiation.

参考文献No.55740
标题:Procuding conjugated ursodeoxycholic acids
作者:Sawada, H.; Watanuki, M. (Yakult Honsha Co., Ltd.)
来源:EP 0119040
合成路线图解说明:

A further method was based on the microbial hydroxylation of taurolithocholic acid (VIII) by the action of a microorganism belonging to the Mortierella genus.

参考文献No.55741
标题:Process for the preparation of taurocholic acids
作者:Rossetti, V.; Arosio, R. (Sanofi-Synth閘abo)
来源:EP 0629634
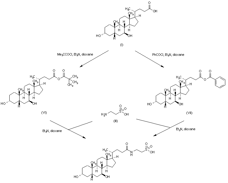
合成路线图解说明:

In a related method, ursodeoxycholic acid (I) was activated as either the mixed anhydrides (VI) or (VII) with pivaloyl chloride or benzoyl chloride, respectively. Subsequent coupling with taurine (III) produced the title conjugated bile acid.

参考文献No.679732
标题:An improved synthesis of taurine- and glycine-conjugated bile acids
作者:Momose, T.; Tsubaki, T.; Iida, T.; Nambara, T.
来源:Lipids 1997,32(7),775
合成路线图解说明:

Ursodeoxycholic acid (I) was activated as the mixed anhydride (II) with ethyl chloroformate and triethylamine, and subsequently coupled with the triethylamine salt of taurine (III) to produce the title conjugated bile acid. Optionally, the mixed anhydride (II) was previously converted to the active phenol ester (V) by treatment with p-hydroxypropiophenone (IV), and subsequently condensed with taurine (III). Alternatively, ursodeoxycholic acid (I) was directly coupled to taurine (III) employing as the coupling reagents 2-isobutyl-N-isobutyloxycarbonyl-1,2-dihydroquinoline (IIDQ), diethylphosphorocyanidate (DEPC), or 2-ethoxy-N-ethoxycarbonyl-1,2-dihydroquinoline (EEDQ) under microwave irradiation.

参考文献No.679733
标题:Microwave-induced rapid synthesis of bile acid conjugates
作者:Dayal, B.; et al.
来源:Synlett 1997,(8),861
合成路线图解说明:

Ursodeoxycholic acid (I) was activated as the mixed anhydride (II) with ethyl chloroformate and triethylamine, and subsequently coupled with the triethylamine salt of taurine (III) to produce the title conjugated bile acid. Optionally, the mixed anhydride (II) was previously converted to the active phenol ester (V) by treatment with p-hydroxypropiophenone (IV), and subsequently condensed with taurine (III). Alternatively, ursodeoxycholic acid (I) was directly coupled to taurine (III) employing as the coupling reagents 2-isobutyl-N-isobutyloxycarbonyl-1,2-dihydroquinoline (IIDQ), diethylphosphorocyanidate (DEPC), or 2-ethoxy-N-ethoxycarbonyl-1,2-dihydroquinoline (EEDQ) under microwave irradiation.

Drug Information Express,Drug R&D,Chemical Database,Patent Search.
Copyright © 2006-2026 Drug Future. All rights reserved.Contact Us