【药物名称】Fradafiban, BIBU-52
化学结构式(Chemical Structure):
参考文献No.17552
标题:Cyclic imino derivs., process for their preparation and drugs containing them
作者:Himmelsbach, F.; Austel, V.; Pieper, H.; Eisert, W.; M黮ler, T.; Weisenberger, J.; Linz, G.; Kr黦er, G. (Dr. Karl Thomae GmbH)
来源:DE 4035961; EP 0483667; JP 1992264068; US 5591769
合成路线图解说明:

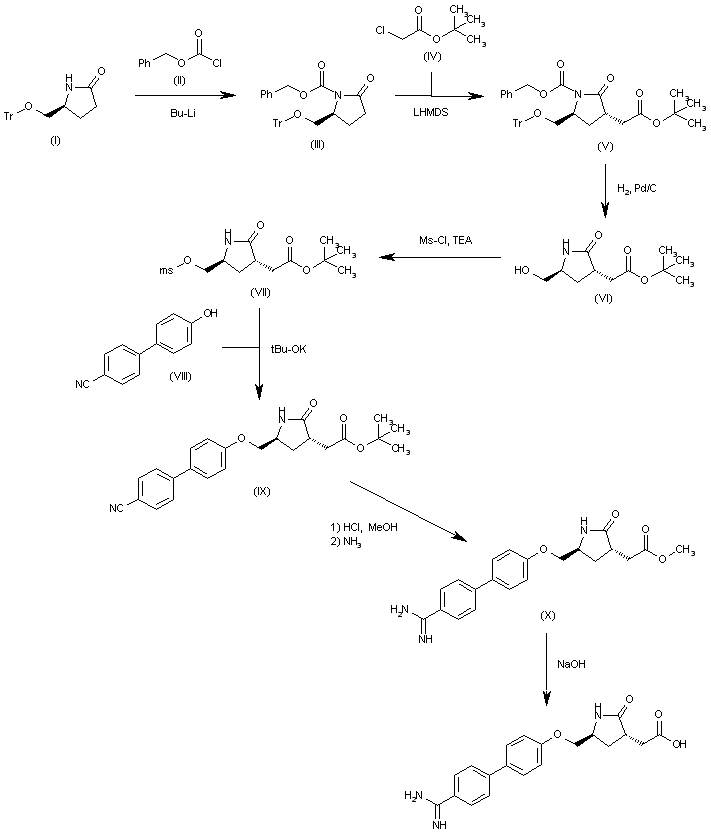
The condensation of 5(S)-(trityloxymethyl)-2-pyrrolidinone (I) with benzyl chloroformate (II) and BuLi in THF gives the carbamate (III), which is alkylated with tert-butyl 2-chloroacetate (IV) and LHMDS in THF to yield 2-[1-(benzyloxycarbonyl)-2-oxo-5(S)-(trityloxymethyl)pyrrolidin-2(S)-yl]acetic acid tert-butyl ester (V). The hydrogenation of (V) with H2 over Pd/C in hot tert-butanol affords 2-[5(S)-(hydroxymethyl)-2-oxopyrrolidin-2(S)-yl]acetic acid tert-butyl ester (VI), which is treated with MsCl and TEA in dichloromethane to provide the methanesulfonate (VII). The condensation of (VII) with 4'-hydroxybiphenyl-4-carbonitrile (VIII) by means of potassium tert-butoxide in DMF gives the adduct (IX), which by treatment with HCl in methanol and with ammonia in the same solvent yields 2-[5(S)-(4'-amidinobiphenyl-4-yloxymethyl)-2-oxopyrrolidin-3(S)-yl]acetic acid methyl ester (X). Finally, this compound is hydrolyzed with NaOH in methanol to afford the target acetic acid derivative.

合成路线图解说明:

The condensation of 5(S)-(trityloxymethyl)-2-pyrrolidinone (I) with benzyl chloroformate (II) and BuLi in THF gives the carbamate (III), which is alkylated with tert-butyl 2-chloroacetate (IV) and LHMDS in THF to yield 2-[1-(benzyloxycarbonyl)-2-oxo-5(S)-(trityloxymethyl)pyrrolidin-2(S)-yl]acetic acid tert-butyl ester (V). The hydrogenation of (V) with H2 over Pd/C in hot tert-butanol affords 2-[5(S)-(hydroxymethyl)-2-oxopyrrolidin-2(S)-yl]acetic acid tert-butyl ester (VI), which is treated with MsCl and TEA in dichloromethane to provide the methanesulfonate (VII). The condensation of (VII) with 4'-hydroxybiphenyl-4-carbonitrile (VIII) by means of potassium tert-butoxide in DMF gives the adduct (IX), which by treatment with HCl in methanol, and with ammonia in the same solvent yields 2-[5(S)-(4'-amidinobiphenyl-4-yloxymethyl)-2-oxopyrrolidin-3(S)-yl]acetic acid methyl ester (X). Finally, this compound is condensed with methyl chloroformate (XI) by means of NaOH in dichloromethane to afford the target compound.

参考文献No.22204
标题:Cyclic imino derivs., medicaments containing these cpds. and processes for the production thereof
作者:Himmelsbach, F.; Austel, V.; Pieper, H.; Linz, G.; Wisenberger, J.; M黮ler, T. (Dr. Karl Thomae GmbH)
来源:DE 4213919; EP 0567966; JP 1994073001
合成路线图解说明:

The condensation of 5(S)-(trityloxymethyl)-2-pyrrolidinone (I) with benzyl chloroformate (II) and BuLi in THF gives the carbamate (III), which is alkylated with tert-butyl 2-chloroacetate (IV) and LHMDS in THF to yield 2-[1-(benzyloxycarbonyl)-2-oxo-5(S)-(trityloxymethyl)pyrrolidin-2(S)-yl]acetic acid tert-butyl ester (V). The hydrogenation of (V) with H2 over Pd/C in hot tert-butanol affords 2-[5(S)-(hydroxymethyl)-2-oxopyrrolidin-2(S)-yl]acetic acid tert-butyl ester (VI), which is treated with MsCl and TEA in dichloromethane to provide the methanesulfonate (VII). The condensation of (VII) with 4'-hydroxybiphenyl-4-carbonitrile (VIII) by means of potassium tert-butoxide in DMF gives the adduct (IX), which by treatment with HCl in methanol and with ammonia in the same solvent yields 2-[5(S)-(4'-amidinobiphenyl-4-yloxymethyl)-2-oxopyrrolidin-3(S)-yl]acetic acid methyl ester (X). Finally, this compound is hydrolyzed with NaOH in methanol to afford the target acetic acid derivative.

合成路线图解说明:

The condensation of 5(S)-(trityloxymethyl)-2-pyrrolidinone (I) with benzyl chloroformate (II) and BuLi in THF gives the carbamate (III), which is alkylated with tert-butyl 2-chloroacetate (IV) and LHMDS in THF to yield 2-[1-(benzyloxycarbonyl)-2-oxo-5(S)-(trityloxymethyl)pyrrolidin-2(S)-yl]acetic acid tert-butyl ester (V). The hydrogenation of (V) with H2 over Pd/C in hot tert-butanol affords 2-[5(S)-(hydroxymethyl)-2-oxopyrrolidin-2(S)-yl]acetic acid tert-butyl ester (VI), which is treated with MsCl and TEA in dichloromethane to provide the methanesulfonate (VII). The condensation of (VII) with 4'-hydroxybiphenyl-4-carbonitrile (VIII) by means of potassium tert-butoxide in DMF gives the adduct (IX), which by treatment with HCl in methanol, and with ammonia in the same solvent yields 2-[5(S)-(4'-amidinobiphenyl-4-yloxymethyl)-2-oxopyrrolidin-3(S)-yl]acetic acid methyl ester (X). Finally, this compound is condensed with methyl chloroformate (XI) by means of NaOH in dichloromethane to afford the target compound.

Drug Information Express,Drug R&D,Chemical Database,Patent Search.
Copyright © 2006-2026 Drug Future. All rights reserved.Contact Us