【药物名称】AG-1296
化学结构式(Chemical Structure):
参考文献No.37716
标题:Treatment of platelet derived growth factor related disorders such as cancers using inhibitors of platelet derived growth receptor
作者:Levitzki, A.; Mann, E.; Bajor, T.; Lammers, R.; Kabbinavar, F.F.; Hirth, K.P.; Orfi, L.; Slamon, D.J.; et al. (Max-Planck-Gesellschaft zur F鰎derung der Wissenschaften e.V. ; Sugen, Inc.; The Hebrew University; Yissum Research Development Co.)
来源:EP 1000617; US 5700823; WO 9519169
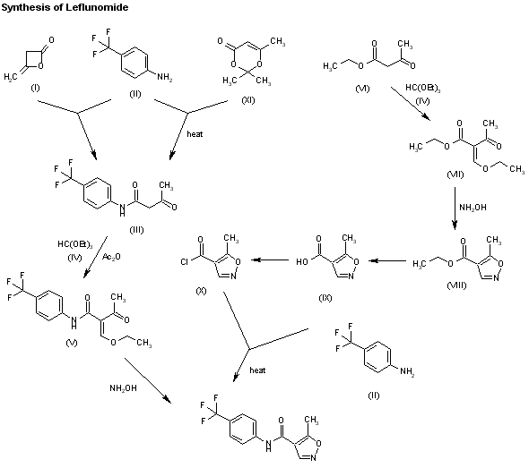
合成路线图解说明:

Leflunomide can be obtained by several related ways: 1) The reaction of diketene (I) with 4-(trifluoromethyl)-aniline (II) in hot acetonitrile gives N-[4-(trifluoro-methyl) phenyl]acetoacetamide (III) , which by reaction with triethyl orthoformate (IV) in refluxing acetic anhydride yields the corresponding ethoxymethylene derivative (V). Finally, this compound is cyclized with hydroxylamine in refluxing ethanol/water. 2) The reaction of ethyl acetoacetate (VI) with triethyl orthoformate (IV) as before gives the corresponding ethoxymethylene derivative (VII), which by cyclization with hydroxylamine as before affords 5-methylisoxazole-4-carboxylic acid ethyl ester (VIII). The hydrolysis of (VIII) under acidic conditions yields the free acid (IX), which is converted into the acid chloride (X) by standard methods. Finally, this compound is condensed with 4-(trifluoro-methyl)aniline (II) by means of triethylamine in acetonitrile. 3) The formation of leflunomide from acid (IX) or its derivatives such as ethyl (VIII) or other esters can also be performed through other standard procedures of amide formation. 4) The N-[4-(trifluoromethyl)phenyl]acetoacetamide (III) can also be obtained by reaction of 4-(trifluoro-methyl) aniline (II) with 2,2,6-trimethyl-4H-1,3-dioxin-4-one (XI) in refluxing xylene.

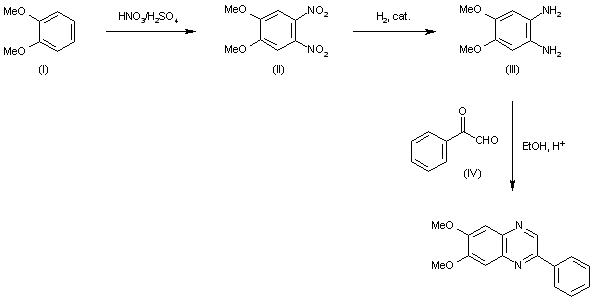
合成路线图解说明:

Treatment of veratrole (I) with aqueous HNO3 and H2SO4 yields 1,2-dinitrobenzene derivative (II), which is then converted into diamine (III) by hydrogenation over Pd/C in HOAc/EtOH or over PtO2. Finally, reaction of diamine (III) with phenyl glyoxal (IV) in EtOH and HOAc or HCl affords the desired product.

参考文献No.43047
标题:Treatment of platelet derived growth factor related disorders such as cancers
作者:Levitzki, A.; Hirth, K.P.; Schwartz, D.P.; Tang, P.C.; Ullrich, A.; Haimichael, J.; Shawver, L.K.; Szekely, I.; Mann, E.; Orfi, L.; Slamon, D.; Keri, G.; Kabbinavar, F.F.; Gazit, A.; Bajor, T.; Lammers, R. (Sugen, Inc.)
来源:US 5990141
合成路线图解说明:

Treatment of veratrole (I) with aqueous HNO3 and H2SO4 yields 1,2-dinitrobenzene derivative (II), which is then converted into diamine (III) by hydrogenation over Pd/C in HOAc/EtOH or over PtO2. Finally, reaction of diamine (III) with phenyl glyoxal (IV) in EtOH and HOAc or HCl affords the desired product.

参考文献No.537900
标题:Tyrphostins. 5. Potent inhibitors of platelet-derived growth factor receptor tyrosine kinase: Structure-activity relationships in quinoxalines, quinolines, and indole tyrphostins
作者:Gazit, A.; App, H.; McMahon, G.; Chen, J.; Levitzki, A.; Bohmer, F.D.
来源:J Med Chem 1996,39(11),2170
合成路线图解说明:

Treatment of veratrole (I) with aqueous HNO3 and H2SO4 yields 1,2-dinitrobenzene derivative (II), which is then converted into diamine (III) by hydrogenation over Pd/C in HOAc/EtOH or over PtO2. Finally, reaction of diamine (III) with phenyl glyoxal (IV) in EtOH and HOAc or HCl affords the desired product.

Drug Information Express,Drug R&D,Chemical Database,Patent Search.
Copyright © 2006-2026 Drug Future. All rights reserved.Contact Us