【药物名称】Telmisartan, YM-086, BIBR-277-SE, BIBR-277, Kinzalmono, Pritor, Micardis
化学结构式(Chemical Structure):
参考文献No.18743
标题:Benzimidazoles, medicaments containing them and process for their preparation
作者:Hauel, N.; Narr, B.; Ries, U.; Van Meel, J.; Wienen, W.; Entzeroth, M. (Dr. Karl Thomae GmbH)
来源:DE 4103492; DE 4117121; EP 0502314; EP 0543263; JP 1992346978
合成路线图解说明:

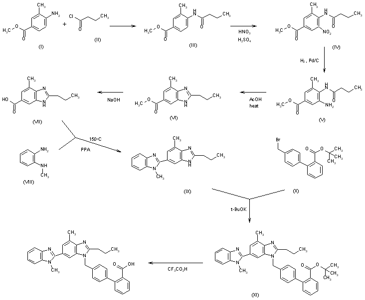
The acylation of 4-amino-3-methylbenzoic acid methyl ester (I) with butyryl chloride (II) in hot chlorobenzene gives the corresponding amide (III), which is nitrated with HNO3/H2SO4 yielding 4-butyramido-3-methyl-5-nitrobenzoic acid methyl ester (IV). The hydrogenation of (IV) with H2 over Pd/C in methanol affords the expected amino compound (V), which is cyclized in refluxing acetic acid to 2-propyl-4-methylbenzimidazole-6-carboxylic acid methyl ester (VI). The hydrolysis of (VI) with NaOH in refluxing methanol/water affords the corresponding free acid (VII), which is cyclized with N-methyl-o-phenylenediamine (VIII) by means of polyphosphoric acid (PPA) at 150 C, giving 4-methyl-6-(1-methylbenzimidazol-2-yl)-2-propylbenzimidazole (IX). The condensation of (IX) with 4'-(bromomethyl)biphenyl-4-carboxylic acid tert-butyl ester (X) by means of potassium tert-butoxide in DMSO yields the tert-butyl ester (XI), which is finally hydrolyzed with trifluoroacetic acid.

参考文献No.236063
标题:6-Substituted benzimidazoles as new nonpeptide angiotensin II receptor antagonists: Synthesis, biological activity, and structure-activity relationships
作者:Ries, U.J.; Mihm, G.; Narr, B.; Hasselbach, K.M.; Wittneben, H.; Entzeroth, M.; van Meel, J.C.A.; Wienen, W.; Hauel, N.H.
来源:J Med Chem 1993,36(25),4040-51
合成路线图解说明:

The acylation of 4-amino-3-methylbenzoic acid methyl ester (I) with butyryl chloride (II) in hot chlorobenzene gives the corresponding amide (III), which is nitrated with HNO3/H2SO4 yielding 4-butyramido-3-methyl-5-nitrobenzoic acid methyl ester (IV). The hydrogenation of (IV) with H2 over Pd/C in methanol affords the expected amino compound (V), which is cyclized in refluxing acetic acid to 2-propyl-4-methylbenzimidazole-6-carboxylic acid methyl ester (VI). The hydrolysis of (VI) with NaOH in refluxing methanol/water affords the corresponding free acid (VII), which is cyclized with N-methyl-o-phenylenediamine (VIII) by means of polyphosphoric acid (PPA) at 150 C, giving 4-methyl-6-(1-methylbenzimidazol-2-yl)-2-propylbenzimidazole (IX). The condensation of (IX) with 4'-(bromomethyl)biphenyl-4-carboxylic acid tert-butyl ester (X) by means of potassium tert-butoxide in DMSO yields the tert-butyl ester (XI), which is finally hydrolyzed with trifluoroacetic acid.

参考文献No.425580
标题:Telmisartan
作者:Merlos, M.; Casas, A.; Casta馿r, J.
来源:Drugs Fut 1997,22(10),1112
合成路线图解说明:

The acylation of 4-amino-3-methylbenzoic acid methyl ester (I) with butyryl chloride (II) in hot chlorobenzene gives the corresponding amide (III), which is nitrated with HNO3/H2SO4 yielding 4-butyramido-3-methyl-5-nitrobenzoic acid methyl ester (IV). The hydrogenation of (IV) with H2 over Pd/C in methanol affords the expected amino compound (V), which is cyclized in refluxing acetic acid to 2-propyl-4-methylbenzimidazole-6-carboxylic acid methyl ester (VI). The hydrolysis of (VI) with NaOH in refluxing methanol/water affords the corresponding free acid (VII), which is cyclized with N-methyl-o-phenylenediamine (VIII) by means of polyphosphoric acid (PPA) at 150 C, giving 4-methyl-6-(1-methylbenzimidazol-2-yl)-2-propylbenzimidazole (IX). The condensation of (IX) with 4'-(bromomethyl)biphenyl-4-carboxylic acid tert-butyl ester (X) by means of potassium tert-butoxide in DMSO yields the tert-butyl ester (XI), which is finally hydrolyzed with trifluoroacetic acid.

Drug Information Express,Drug R&D,Chemical Database,Patent Search.
Copyright © 2006-2026 Drug Future. All rights reserved.Contact Us