【药物名称】V-Echinocandin, Anidulafungin, VER-002, LY-303366
化学结构式(Chemical Structure):
参考文献No.21880
标题:Cyclic peptide antifungal agents and process for preparation thereof
作者:Burkhardt, F.J.; Debono, M.; Nissen, J.S.; Turner, W.W. Jr. (Eli Lilly and Company)
来源:EP 0561639; JP 1994056892
合成路线图解说明:

By condensation of cyclopeptide (I) with 4''-(pentyloxy)-p-terphenyl-4-carboxylic acid 2,4,5-trichlorophenyl ester (II) by means of dicyclohexylcarbodiimide (DCC) in DMF at room temperature.

参考文献No.244501
标题:LY-303366
作者:Fromtling, R.A.
来源:Drugs Fut 1994,19(4),338
合成路线图解说明:

By condensation of cyclopeptide (I) with 4''-(pentyloxy)-p-terphenyl-4-carboxylic acid 2,4,5-trichlorophenyl ester (II) by means of dicyclohexylcarbodiimide (DCC) in DMF at room temperature.

参考文献No.323870
标题:Semisynthetic chemical modification of the antifungal lipopeptidechinocandin B (ECB): Structure-activity studies of the lipophilic and geometric parameters of polyarylated acyl analogs of ECB
作者:Debono, M.; Turner, W.W.; LaGrandeur, L.; Burkhardt, F.J.; Nissen, J.S.; Nichols, K.K.; Rodriguez, M.J.; Zweifel, M.J.; Zeckner, D.J.; Gordee, R.S.; et al.
来源:J Med Chem 1995,38(17),3271
合成路线图解说明:

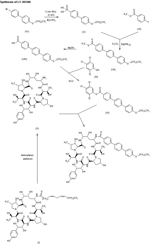
A new synthesis of LY-303366 has been reported: The enzymatic hydrolysis of echinocandin B (I) with Actinoplanes utahensis provides the corresponding cyclic peptide (II), which is then reacylated with the active ester 4''-(pentyloxy)-p-terphenyl-4-carboxylic acid 2,4,5-trichlorophenyl ester (III) in DMF. The active ester (III) is obtained as follows: 4-Bromo-4'-(pentyloxy)biphenyl (IV) is treated with sec-butyllithium and triisopropyl borate in THF/cyclohexane, yielding (after hydrolysis with HCl) 4'-(pentyloxy)biphenyl-4-boronic acid (V), which is condensed with methyl 4-iodobenzoate (VI) by means of palladium tetrakis(triphenylphosphine) and K2CO3 in refluxing toluene, giving 4''-(pentyloxy)-p-terphenyl-4-carboxylic acid methyl ester (VII). The hydrolysis of (VII) with NaOH in refluxing dioxane containing 2N NaOH affords the corresponding free acid (VIII), which is finally converted to the active ester (III) by esterification with 2,4,5-trichlorophenol (IX) by means of dicyclohexylcarbodiimide (DCC) in DMF.

Drug Information Express,Drug R&D,Chemical Database,Patent Search.
Copyright © 2006-2026 Drug Future. All rights reserved.Contact Us