【药物名称】YM-099
化学结构式(Chemical Structure):
参考文献No.547611
标题:Novel potassium channel activators. II. Synthesis and pharmacological evaluation of 3,4-dihydro-2H-1,4-benzoxazine derivatives: Modification of the aromatic part
作者:Matsumoto, Y.; Tsuzuki, R.; Matsuhisa, A.; Masuda, N.; Yamagiwa, Y.; Yanagisawa, I.; Shibanuma, T.; Nohira, H.
来源:Chem Pharm Bull 1999,47(7),971
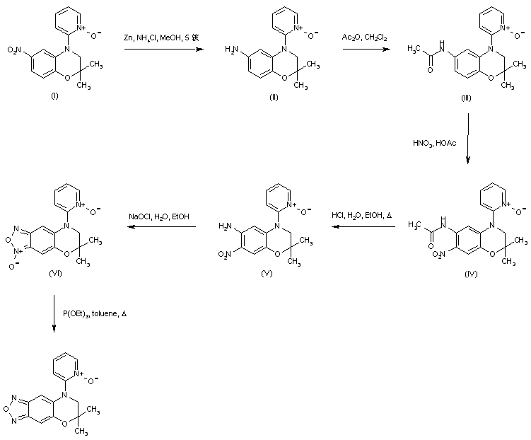
合成路线图解说明:

Reduction of nitrobenzoxazine (I) using Zn and NH4Cl afforded the corresponding amine (II), which was acetylated with acetic anhydride to give amide (III). Subsequent nitration of (III) yielded the 6-acetamido-7-nitro derivative (IV). Acidic hydrolysis of amide function of (IV) then furnished the nitroaniline (V). Further oxidative ring closure using sodium hypochlorite produced the benzofuroxan (VI). Finally, the N-oxide group was selectively reduced by treatment with triethyl phosphite to give the target compound.

Drug Information Express,Drug R&D,Chemical Database,Patent Search.
Copyright © 2006-2026 Drug Future. All rights reserved.Contact Us