【药物名称】TRM-115
化学结构式(Chemical Structure):
参考文献No.209366
标题:Synthesis of TRM-115, a new antiulcer agent, and its pharmacological action
作者:Matsushima, H.; Nanba, R.; Isozaki, M.; Nakazawa, K.; Koyama, S.
来源:113th Annu Meet Pharmaceut Soc Jpn (March 29-31, Osaka) 1993,Abst 29PB 13-04.
合成路线图解说明:

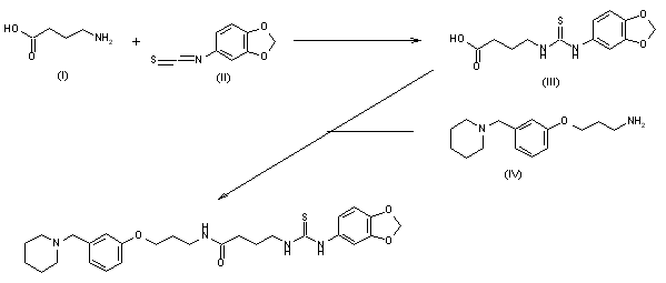
The condensation of gamma-aminobutylic acid (I) with 3,4-methylenedioxyphenylisothiocyanate (II) in ethanol-H2O gives 1-[3-(carboxy)propyl]-3-(3,4-methylenedioxyphenyl)thiourea (III), which is allowed to react with 3-[3-(piperidinomethyl)phenoxy]propylamine (IV) by means of ethyl chloroformate and triethylamine in dichloromethane to afford TRM-115.

参考文献No.222470
标题:TRM-115
作者:Takenaga, T.; Isozaki, M.
来源:Drugs Fut 1993,18(10),909
合成路线图解说明:

The condensation of gamma-aminobutylic acid (I) with 3,4-methylenedioxyphenylisothiocyanate (II) in ethanol-H2O gives 1-[3-(carboxy)propyl]-3-(3,4-methylenedioxyphenyl)thiourea (III), which is allowed to react with 3-[3-(piperidinomethyl)phenoxy]propylamine (IV) by means of ethyl chloroformate and triethylamine in dichloromethane to afford TRM-115.

参考文献No.801986
标题:Synthesis of TRM-115
作者:Isozaki, M.; Nakazawa, K.; Nanba, R.; Matsushima, H.; Koyama, S.
来源:Terumo Co., Ltd. Internal Report
合成路线图解说明:

The condensation of gamma-aminobutylic acid (I) with 3,4-methylenedioxyphenylisothiocyanate (II) in ethanol-H2O gives 1-[3-(carboxy)propyl]-3-(3,4-methylenedioxyphenyl)thiourea (III), which is allowed to react with 3-[3-(piperidinomethyl)phenoxy]propylamine (IV) by means of ethyl chloroformate and triethylamine in dichloromethane to afford TRM-115.

参考文献No.900021
标题:Thiourea derivs
作者:Nakazawa, K.; Isozaki, M.; Koyama, S. (Terumo Corp.)
来源:JP 93059038
合成路线图解说明:

The condensation of gamma-aminobutylic acid (I) with 3,4-methylenedioxyphenylisothiocyanate (II) in ethanol-H2O gives 1-[3-(carboxy)propyl]-3-(3,4-methylenedioxyphenyl)thiourea (III), which is allowed to react with 3-[3-(piperidinomethyl)phenoxy]propylamine (IV) by means of ethyl chloroformate and triethylamine in dichloromethane to afford TRM-115.

Drug Information Express,Drug R&D,Chemical Database,Patent Search.
Copyright © 2006-2026 Drug Future. All rights reserved.Contact Us