【药物名称】Doripenem, S-4661
化学结构式(Chemical Structure):
参考文献No.20121
标题:A pyrrolidylthiocarbapenem derivative
作者:Nishitani, Y.; Irie, T.; Nishino, Y. (Shionogi & Co. Ltd.)
来源:EP 0528678; JP 1993294970; US 5317016
合成路线图解说明:

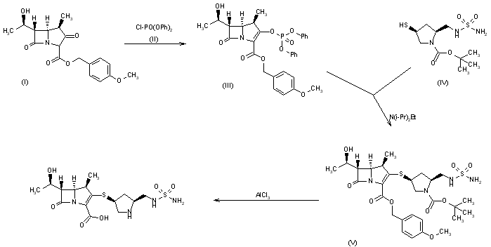
The reaction of (1R,6S)-6-[1(R)-hydroxyethyl]-1-methyl-2-oxo-1-carbapenam-3-carboxylic acid 4-methoxybenzyl ester (I) with diphenyl chlorophosphate (II) and ethyl diisopropylamine in acetonitrile gives the corresponding penem diphenylphosphate (III), which is condensed with 1-(tert-butoxycarbonyl)-2(S)-sulfamoylaminomethyl)pyrrolidine-4(S)-thio l (IV) by means of ethyl diisopropylamine in the same solvent, yielding compound (V), which is finally treated with AlCl3 to eliminate the protecting groups to obtain S-4661.

参考文献No.294330
标题:S-4661
作者:Casta馿r, J.; Mealy, N.; Rabasseda, X.
来源:Drugs Fut 1995,20(4),367
合成路线图解说明:

The reaction of (1R,6S)-6-[1(R)-hydroxyethyl]-1-methyl-2-oxo-1-carbapenam-3-carboxylic acid 4-methoxybenzyl ester (I) with diphenyl chlorophosphate (II) and ethyl diisopropylamine in acetonitrile gives the corresponding penem diphenylphosphate (III), which is condensed with 1-(tert-butoxycarbonyl)-2(S)-sulfamoylaminomethyl)pyrrolidine-4(S)-thio l (IV) by means of ethyl diisopropylamine in the same solvent, yielding compound (V), which is finally treated with AlCl3 to eliminate the protecting groups to obtain S-4661.

参考文献No.352926
标题:A novel 1beta-methylcarbapenem antibiotic, S-4661. Synthesis and structure-activity relationships of 2-(5-substituted pyrrolidin-3-ylthio)-1beta-methylcarbapenems
作者:Iso, Y.; Irie, T.; Nishino, Y.; Motokawa, K.; Nishitani, Y.
来源:J Antibiot 1996,49(2),199
合成路线图解说明:

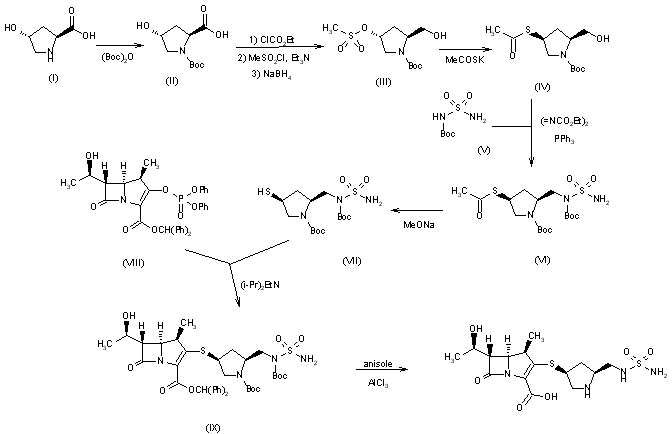
A new synthesis of S-4661 has been reported: The esterification of trans-4-hydroxy-L-proline (I) with methanol/HCl gives the corresponding methyl ester (II), which is N-protected as trans-N-(4-methoxybenzyloxycarbonyl)-4-hydroxy-L-proline methyl ester (III). The mesylation of (III) with methanesulfonyl chloride and triethylamine in dichloromethane affords the 4-O-mesylate (IV), which is treated with sodium triphenylmethylsulfide giving cis-N-(4-methoxybenzyloxycarbonyl)-4-(triphenylmethylsulfanyl)-L-prolin e methyl ester (V). The reduction of (V) with LiBH4 in THF yields the corresponding methanol (VI), which is mesylated as before affording (VII). The reaction of (VII) with potassium phthalimide (VIII) gives the adduct (IX), which is cleaved with hydrazine yielding (2S,4S)-2-(aminomethyl)-1-(4-methoxybenzyloxycarbonyl)-4-(triphenylmeth ylsulfanyl)pyrrolidine (X). The condensation of (X) with N-(4-methoxybenzyl)sulfamoyl chloride (XI) by means of triethylamine affords the corresponding protected sulfamide (XII). Deprotection of the trityl group of (XII) by treatment with silver nitrate and pyridine affords compound (XIII) with a free SH group. The reaction of (XIII) with (1R,5S,6S)-2-(diphenoxyphosphoryloxy)-6-[1(R)-hydroxyethyl]-1-methyl-1-carba-2-penem-3-carboxylic acid 4-methoxybenzyl ester (XIV) by means of diisopropylethylamine yields the protected final product (XV), which is finally treated with AlCl3 in anisole to eliminate the protecting groups.

参考文献No.367290
标题:Synthesis and modification of a novel 1beta-methyl carbapenem antibiotic, S-4661
作者:Iso, Y.; Irie, T.; Iwaki, T.; Kii, M.; Sendo, Y.; Motokawa, K.; Nishitani, Y.
来源:J Antibiot 1996,49(5),478
合成路线图解说明:

A new synthesis of S-4661 has been reported: The protection of trans-4-hydroxy-L-proline with tert-butoxycarbonyl anhydride gives N-(tert-butoxycarbonyl)-4(R)-hydroxy-L-proline (II), which is successively treated with ethyl chloroformate, mesylated with mesyl chloride and reduced with NaBH4 yielding (2S,4R)-1-(tert-butoxycarbonyl)-2-(hydroxymethyl)-4-(methanesulfonyloxy)pyrrolidine (III). The reaction of (III) with potassium thioacetate affords Compound (IV), which is condensed with N-(tert-butoxycarbonyl)sulfamide (V) by means of diethyl azodicarboxylate and triphenylphosphine to give the protected pyrrolidinesulfamide (VI). The deacetylation of (VI) with sodium methoxide yields (2S,4S)-1-(tert-butoxycarbonyl)-2-[N-(tert-butoxycarbonyl)-N-sulfamoylaminomethyl]-4-sulfanylpyrrolidine (VII), which is then condensed with (1R,5S,6S)-2-(diphenoxyphosphoryloxy)-6-[1(R)-hydroxyethyl]-1-methyl-1-carba-2-penem-3-carboxylic acid diphenylmethyl ester (VIII) by means of diisopropylethylamine to afford the protected final product (IX). Finally, this compound is deprotected with AlCl3 in anisole.

参考文献No.900017
标题:A production method for sulfamide
作者:Sendo, Y.; Kii, M.; Nishitani, Y.; Irie, T.; Nishino, Y. (Shionogi & Co., Ltd.)
来源:EP 0557122
合成路线图解说明:

The reaction of (1R,6S)-6-[1(R)-hydroxyethyl]-1-methyl-2-oxo-1-carbapenam-3-carboxylic acid 4-methoxybenzyl ester (I) with diphenyl chlorophosphate (II) and ethyl diisopropylamine in acetonitrile gives the corresponding penem diphenylphosphate (III), which is condensed with 1-(tert-butoxycarbonyl)-2(S)-sulfamoylaminomethyl)pyrrolidine-4(S)-thio l (IV) by means of ethyl diisopropylamine in the same solvent, yielding compound (V), which is finally treated with AlCl3 to eliminate the protecting groups to obtain S-4661.

Drug Information Express,Drug R&D,Chemical Database,Patent Search.
Copyright © 2006-2026 Drug Future. All rights reserved.Contact Us