【药物名称】Orbifloxacin, AT-4526, Victas
化学结构式(Chemical Structure):
参考文献No.12543
标题:Quinoline derivs., pharmaceutical compsn. and method of use
作者:Matsumoto, J.-I.; Miyamoto, T.; Egawa, H.; Nakamura, S. (Dainippon Pharmaceutical Co., Ltd.)
来源:EP 0242789; US 4886810
合成路线图解说明:

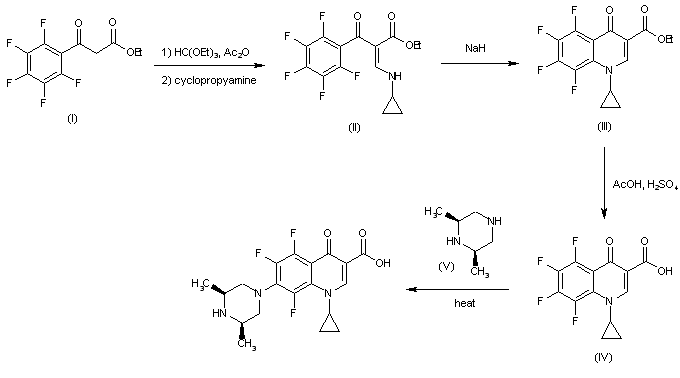
The reaction of pentafluorobenzoylacetic acid ethyl ester (I) with triethyl orthoformate in refluxing acetic anhydride, followed by condensation with cyclopropylamine, gives 2-(pentafluorobenzoyl)-3-(cyclopropylamino)acrylic acid ethyl ester (II), which is cyclized by means of NaH in THF to yield 1-cyclopropyl-5,6,7,8-tetrafluoro-4-oxo-1,4-dihydroquinoline-3-carboxylic acid ethyl ester (III). The hydrolysis of (III) with H2SO4 /HOAc in refluxing water affords the corresponding carboxylic acid (IV), which is finally condensed with cis-2,6-dimethylpiperazine (V) in DMF to provide the target quinolone.

参考文献No.121925
标题:Synthesis and structure-activity relationships of 5-substituted 6,8-difluoroquinolones, including sparfloxacin, a new quinolone antibacterial agent with improved potency
作者:Miyamoto, T.; Matsumoto, J.; Chiba, K.; Egawa, H.; Shibamori, K.; Minamida, A.; Nishimura, Y.; Okada, H.; Kataoka, M.; Fujita, M.; et al.
来源:J Med Chem 1990,33(6),1645
合成路线图解说明:

The reaction of pentafluorobenzoylacetic acid ethyl ester (I) with triethyl orthoformate in refluxing acetic anhydride, followed by condensation with cyclopropylamine, gives 2-(pentafluorobenzoyl)-3-(cyclopropylamino)acrylic acid ethyl ester (II), which is cyclized by means of NaH in THF to yield 1-cyclopropyl-5,6,7,8-tetrafluoro-4-oxo-1,4-dihydroquinoline-3-carboxylic acid ethyl ester (III). The hydrolysis of (III) with H2SO4 /HOAc in refluxing water affords the corresponding carboxylic acid (IV), which is finally condensed with cis-2,6-dimethylpiperazine (V) in DMF to provide the target quinolone.

Drug Information Express,Drug R&D,Chemical Database,Patent Search.
Copyright © 2006-2026 Drug Future. All rights reserved.Contact Us