【药物名称】LY-191704
化学结构式(Chemical Structure):
参考文献No.207659
标题:Nonsteroidal inhibitors of human type I steroid 5alpha-reductase
作者:Jones, C.D.; Audia, J.E.; Lawhorn, D.E.; McQuaid, L.A.; Neubauer, B.L.; Pike, A.J.; Pennington, P.A.; Stamm, N.B.; Toomey, R.E.; Hirsch, K.S.
来源:J Med Chem 1993,36(3),421-3
合成路线图解说明:

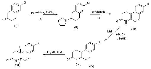
6-Chloro-2-tetralone (I) was converted to its pyrrolidine enamine (II) in refluxing toluene. Condensation with acrylamide afforded 8-chloro-1,2,3,4,5,6-hexahydrobenzo[f]quinolin-3-one (III). Methylation with iodomethane and potassium tert-butoxide and tert-butanol afforded the N-methyl derivative (IV), which was reduced with triethylsilane in the presence of trifluoroacetic acid. The crude trans-8-chloro-4-methyl-1,2,3,4,4a,5,6,10b-octahydrobenzo[f]quinolin-3-one (V) was purified by recrystallization from ethyl acetate.

参考文献No.283869
标题:LY191704
作者:Neubauer, B.L.; Hanke, C.W.; Lawhorn, D.E.; McQuaid, L.; Gray, H.R.; Hsiao, K.C.; Hirsch, K.S.; Audia, J.E.; Valia, K.; Farid, N.A.; Jones, C.D.; Toomey, R.E.
来源:Drugs Fut 1995,20(2),144
合成路线图解说明:

6-Chloro-2-tetralone (I) was converted to its pyrrolidine enamine (II) in refluxing toluene. Condensation with acrylamide afforded 8-chloro-1,2,3,4,5,6-hexahydrobenzo[f]quinolin-3-one (III). Methylation with iodomethane and potassium tert-butoxide and tert-butanol afforded the N-methyl derivative (IV), which was reduced with triethylsilane in the presence of trifluoroacetic acid. The crude trans-8-chloro-4-methyl-1,2,3,4,4a,5,6,10b-octahydrobenzo[f]quinolin-3-one (V) was purified by recrystallization from ethyl acetate.

Drug Information Express,Drug R&D,Chemical Database,Patent Search.
Copyright © 2006-2026 Drug Future. All rights reserved.Contact Us