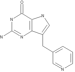
【药物名称】Peldesine, BCX-34
化学结构式(Chemical Structure):
参考文献No.208304
标题:Structure-based design of inhibitors of purine nucleoside phosphorylase. 1. 9-(Arylmethyl) derivatives of 9-deazaguanine
作者:Montgomery, J.A.; Niwas, S.; Rose, J.D.; Secrist, J.A. III, Babu, Y.S.; Babu, Y.S.; Bugg, C.E.; Erion, M.D.; Guida, W.C.; Ealick, S.E.
来源:J Med Chem 1993,36(1),55-9
合成路线图解说明:

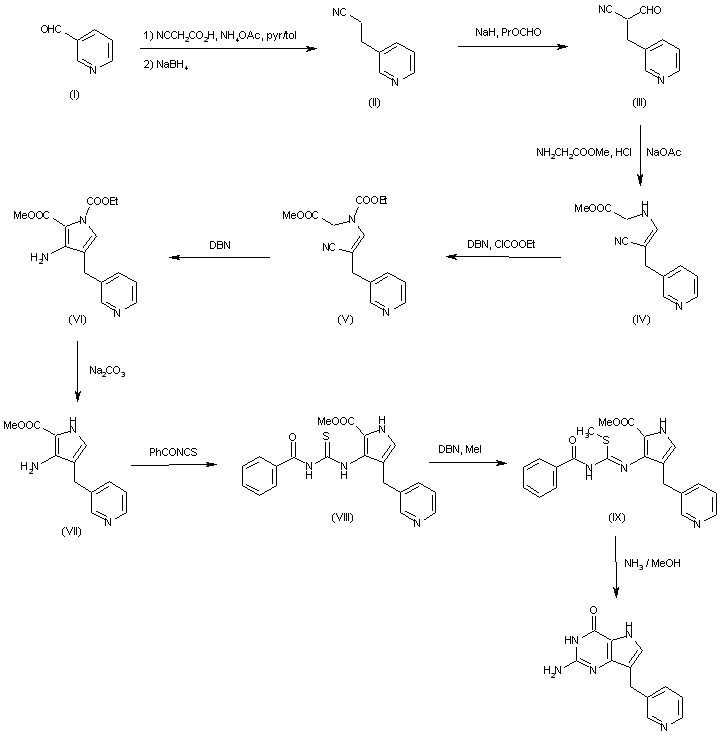
BCX-34 is synthesized from 3-pyridylcarboxaldehyde in ten steps in 10% overall yield as described by Montgomery et al. and depicted in Scheme 19337601a. The reaction of (I) with cyanoacetic acid followed by sodium borohydride reduction of the substituted acrylonitrile intermediate gave (II) in good yield. A key step in the synthesis is the formation of aldehyde (III) using sodium hydride and ethyl formate. The enamine (IV) is then prepared from (III) and glycine methyl ester hydrochloride buffered with sodium acetate. Protection of the enamine nitrogen of (IV) is required to yield (V) before cyclization to pyrrole (VI) is carried out using 1,5-diazabicyclo[4.3.0]non-5-ene (DBN). This reaction gives a mixture of (VI) and (VII) as products and the mixture is all converted to (VII) by sodium carbonate hydrolysis before isolation of solid (VII). The cyclization of the pyrimidine ring portion of BCX-34 is accomplished in three steps from (VII) through a sequence first described by Yamazaki et al. A study of the reaction conditions for the final cyclization step of the synthesis of Peldesine described in scheme 19337601a, in order to improve the yield of the target compound, and to minimize the side products, is presented in Org Proc Res Develop 2000, 4: 129.

参考文献No.222285
标题:BCX-34
作者:Walsh, D.A.; Walsh, G.M.; Montgomery, J.A.; Snyder, H.W. Jr.
来源:Drugs Fut 1993,18(10),887
合成路线图解说明:

BCX-34 is synthesized from 3-pyridylcarboxaldehyde in ten steps in 10% overall yield as described by Montgomery et al. and depicted in Scheme 19337601a. The reaction of (I) with cyanoacetic acid followed by sodium borohydride reduction of the substituted acrylonitrile intermediate gave (II) in good yield. A key step in the synthesis is the formation of aldehyde (III) using sodium hydride and ethyl formate. The enamine (IV) is then prepared from (III) and glycine methyl ester hydrochloride buffered with sodium acetate. Protection of the enamine nitrogen of (IV) is required to yield (V) before cyclization to pyrrole (VI) is carried out using 1,5-diazabicyclo[4.3.0]non-5-ene (DBN). This reaction gives a mixture of (VI) and (VII) as products and the mixture is all converted to (VII) by sodium carbonate hydrolysis before isolation of solid (VII). The cyclization of the pyrimidine ring portion of BCX-34 is accomplished in three steps from (VII) through a sequence first described by Yamazaki et al. A study of the reaction conditions for the final cyclization step of the synthesis of Peldesine described in scheme 19337601a, in order to improve the yield of the target compound, and to minimize the side products, is presented in Org Proc Res Develop 2000, 4: 129.

参考文献No.488827
标题:An improved synthesis of 9-(3-pyridylmethyl)-[2-14C]-9-deazaguanine
作者:Elliott, A.J.; Kwong, C.D.; Montgomery, J.A.
来源:J Label Compd Radiopharm 1998,41(10),879
合成路线图解说明:

An improved synthesis of [14C]-peldesine has been reported: The reaction of S-methyl-[14C]-isothiourea (I) with methyl chloroformate (II) by means of tetrabutylammonium bromide in dichloromethane gives N,N'-bis(methoxycarbonyl)-S-methyl-[14C]-isothiourea (III). This compound is condensed with 3-amino-4-(3-pyridylmethyl)-1H-pyrrole-2-carboxylic acid methyl ester (IV) by means of acetic acid in methanol yielding the labeled guanidine (V). The cyclization of (V) by means of sodium methoxide in methanol affords the carbamate precursor (VI), which is finally deprotected with NaOH in hot water.

参考文献No.570075
标题:Selective formation of pyrrolo[3,2-d]pyrimidines from methyl[(N-benzoyl-S-methylisothiocarbamoyl)amino]-1H-pyrrole-2-carboxylate
作者:Pathak, V.P.
来源:Org Process Res Dev 2000,4(2),129
合成路线图解说明:

BCX-34 is synthesized from 3-pyridylcarboxaldehyde in ten steps in 10% overall yield as described by Montgomery et al. and depicted in Scheme 19337601a. The reaction of (I) with cyanoacetic acid followed by sodium borohydride reduction of the substituted acrylonitrile intermediate gave (II) in good yield. A key step in the synthesis is the formation of aldehyde (III) using sodium hydride and ethyl formate. The enamine (IV) is then prepared from (III) and glycine methyl ester hydrochloride buffered with sodium acetate. Protection of the enamine nitrogen of (IV) is required to yield (V) before cyclization to pyrrole (VI) is carried out using 1,5-diazabicyclo[4.3.0]non-5-ene (DBN). This reaction gives a mixture of (VI) and (VII) as products and the mixture is all converted to (VII) by sodium carbonate hydrolysis before isolation of solid (VII). The cyclization of the pyrimidine ring portion of BCX-34 is accomplished in three steps from (VII) through a sequence first described by Yamazaki et al. A study of the reaction conditions for the final cyclization step of the synthesis of Peldesine described in scheme 19337601a, in order to improve the yield of the target compound, and to minimize the side products, is presented in Org Proc Res Develop 2000, 4: 129.

参考文献No.801806
标题:Synthesis of guanosine and its derivatives from 5-amino-1-beta-D-ribofuranosyl-4-imidazolecarboxamide. I. Ring closure with benzoyl isothiocyanate
作者:Yamazaki, A.; Takenishi, T.; Kumashiro, L.
来源:J Org Chem 1967,321825-8
合成路线图解说明:

BCX-34 is synthesized from 3-pyridylcarboxaldehyde in ten steps in 10% overall yield as described by Montgomery et al. and depicted in Scheme 19337601a. The reaction of (I) with cyanoacetic acid followed by sodium borohydride reduction of the substituted acrylonitrile intermediate gave (II) in good yield. A key step in the synthesis is the formation of aldehyde (III) using sodium hydride and ethyl formate. The enamine (IV) is then prepared from (III) and glycine methyl ester hydrochloride buffered with sodium acetate. Protection of the enamine nitrogen of (IV) is required to yield (V) before cyclization to pyrrole (VI) is carried out using 1,5-diazabicyclo[4.3.0]non-5-ene (DBN). This reaction gives a mixture of (VI) and (VII) as products and the mixture is all converted to (VII) by sodium carbonate hydrolysis before isolation of solid (VII). The cyclization of the pyrimidine ring portion of BCX-34 is accomplished in three steps from (VII) through a sequence first described by Yamazaki et al. A study of the reaction conditions for the final cyclization step of the synthesis of Peldesine described in scheme 19337601a, in order to improve the yield of the target compound, and to minimize the side products, is presented in Org Proc Res Develop 2000, 4: 129.

Drug Information Express,Drug R&D,Chemical Database,Patent Search.
Copyright © 2006-2026 Drug Future. All rights reserved.Contact Us