【药物名称】Dabelotine mesilate, S-12024-2
化学结构式(Chemical Structure):
参考文献No.9102
标题:Novel morpholine derivs., process for their preparation and pharmaceutical compsns. containing them
作者:R間nier, G.; Guillonneau, C.; Lepagnol, J. (ADIR et Cie.)
来源:AU 8813520; EP 0286495; FR 2612926; JP 1988255279; US 4782054
合成路线图解说明:

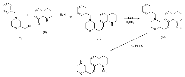
The condensation of 4-benzyl-2-(chloromethyl)morpholine (I) with 8-hydroxy-1,2,3,4-tetrahydroquinoline (II) by means of NaH in hot DMF gives 8-(4-benzylmorpholin-2-ylmethoxy)-1,2,3,4-tetrahydroquinoline (III), which is methylated with methyl iodide and K2CO3 in refluxing acetone yielding the corresponding N-methyl derivative (IV). Finally, this compound is debenzylated by hydrogenolysis with H2 over Pd/C in ethanol.

参考文献No.371063
标题:Dabelotine Mesylate
作者:Tracy, M.; Ngo, J.; Casta馿r, J.
来源:Drugs Fut 1996,21(9),890
合成路线图解说明:

The condensation of 4-benzyl-2-(chloromethyl)morpholine (I) with 8-hydroxy-1,2,3,4-tetrahydroquinoline (II) by means of NaH in hot DMF gives 8-(4-benzylmorpholin-2-ylmethoxy)-1,2,3,4-tetrahydroquinoline (III), which is methylated with methyl iodide and K2CO3 in refluxing acetone yielding the corresponding N-methyl derivative (IV). Finally, this compound is debenzylated by hydrogenolysis with H2 over Pd/C in ethanol.

Drug Information Express,Drug R&D,Chemical Database,Patent Search.
Copyright © 2006-2026 Drug Future. All rights reserved.Contact Us