【药物名称】Tiotropium bromide, BA-679-BR, Spiriva HandiHaler, Spiriva
化学结构式(Chemical Structure):
参考文献No.14482
标题:Thienylcarboxylic acid ester of aminoalcohols, their quaternary products, their preparation and use of the cpds.
作者:Banholzer, R.; Bauer, R.; Reichl, R. (Boehringer Ingelheim GmbH; Boehringer Ingelheim Pharma KG)
来源:DE 3931041; EP 0418716; JP 1993502438; US 5610163; WO 9104252
合成路线图解说明:

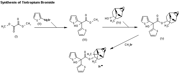
The Grignard condensation of oxalic acid dimethyl ester (I) with 2-thienylmagnesium bromide (II) gives 2-hydroxy-2,2-bis(2-thienyl)acetic acid methyl ester (III), which is submitted to transesterification with scopine (IV) catalyzed by Na or NaOEt, providing the corresponding ester (V). Finally, (V) is quaternized with methyl bromide in dichloromethane/acetonitrile.

参考文献No.56226
标题:Method for producing the anticholinergic agent tiotropium bromide
作者:Banholzer, R.; Luettke, S.; Meissner, H.; Graulich, M.; Mathes, A.; Specht, P.; Broeder, W. (Boehringer Ingelheim Pharma KG)
来源:DE 10064816; WO 0251840
合成路线图解说明:

The transesterification of 2-hydroxy-2,2-bis(2-thienyl)acetic acid methyl ester (I) with endo-8-methyl-8-azabicyclo[3,2,1]-6-octen-3-ol (II) gives the corresponding ester (III), which is epoxidated with V2O5 and H2O2 to yield the epoxy compound (IV). Finally, this compound is quaternized with methyl bromide as usual.

参考文献No.584825
标题:Tiotropium Bromide
作者:Norman, P.; Rabasseda, X.; Casta馿r, J.; Graul, A.
来源:Drugs Fut 2000,25(7),693
合成路线图解说明:

The Grignard condensation of oxalic acid dimethyl ester (I) with 2-thienylmagnesium bromide (II) gives 2-hydroxy-2,2-bis(2-thienyl)acetic acid methyl ester (III), which is submitted to transesterification with scopine (IV) catalyzed by Na or NaOEt, providing the corresponding ester (V). Finally, (V) is quaternized with methyl bromide in dichloromethane/acetonitrile.

Drug Information Express,Drug R&D,Chemical Database,Patent Search.
Copyright © 2006-2026 Drug Future. All rights reserved.Contact Us