【药物名称】Agomelatine, S-20098, Valdoxan
化学结构式(Chemical Structure):
参考文献No.16218
标题:Novel derivs. with a naphthalenic structure, their process of preparation and pharmaceutical compsns. containing them
作者:Andrieux, J.; Houssin, R.; Said, Y.; Guardiola-Lemaitre, B.; Lesieur, D. (ADIR et Cie.)
来源:EP 0447285; FR 2658819; JP 1995048331; US 5318994
合成路线图解说明:

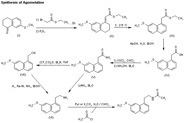
Reformatskii reaction between 7-methoxy-1-tetralone (I) and the organozinc reagent generated from ethyl bromoacetate, followed by dehydration of the intermediate carbinol in the presence of P2O5 gives 2-(7-methoxy-1,2,3,4-tetrahydro-1-naphthylidene)acetic acid ethyl ester (II). Aromatization of compound (II) by heating with sulfur at 215 C results in the corresponding naphthalene derivative (III), which is submited to basic hydrolysis of the ethyl ester group (III) to provide 2-(7-methoxy-1-naphthyl)acetic acid (IV). After activation of (IV) with SOCl2, the crude acid chloride is treated with ammonium hydroxide to produce amide (V), which by direct reduction with LiAlH4 furnishes amine (VI) in low yields. An alternative procedure consists of the dehydration of amide (V) with trifluoroacetic anhydride to afford nitrile (VII), which is then reduced to the desired amine (VI) by catalytic hydrogenation. Finally, agomelatine is obtained by reaction of amine (VI) with acetyl chloride in pyridine or in a biphasic medium (H2O瑿HCl3) under Schotten-Baumann conditions.

参考文献No.207668
标题:Novel naphthalenic ligands for the melatonin receptor
作者:Adam, G.; Guardiola-Lemaitre, B.; Yous, S.; Lesieur, D.; Morgan, P.; Howell, H.-E.; Andrieux, J.; Caignard, D.-H.; Pfeiffer, B.; Renard, P.
来源:J Pharm Belg 1992,47(4),374
合成路线图解说明:

Reformatskii reaction between 7-methoxy-1-tetralone (I) and the organozinc reagent generated from ethyl bromoacetate, followed by dehydration of the intermediate carbinol in the presence of P2O5 gives 2-(7-methoxy-1,2,3,4-tetrahydro-1-naphthylidene)acetic acid ethyl ester (II). Aromatization of compound (II) by heating with sulfur at 215 C results in the corresponding naphthalene derivative (III), which is submited to basic hydrolysis of the ethyl ester group (III) to provide 2-(7-methoxy-1-naphthyl)acetic acid (IV). After activation of (IV) with SOCl2, the crude acid chloride is treated with ammonium hydroxide to produce amide (V), which by direct reduction with LiAlH4 furnishes amine (VI) in low yields. An alternative procedure consists of the dehydration of amide (V) with trifluoroacetic anhydride to afford nitrile (VII), which is then reduced to the desired amine (VI) by catalytic hydrogenation. Finally, agomelatine is obtained by reaction of amine (VI) with acetyl chloride in pyridine or in a biphasic medium (H2O瑿HCl3) under Schotten-Baumann conditions.

参考文献No.207670
标题:Novel naphthalenic ligands with high affinity for the melatonin receptor
作者:Yous, S.; Andrieux, J.; Howell, H.E.; Morgan, P.J.; Renard, P.; Pfeiffer, B.; Lesieur, D.; Guardiola-Lemaitre, B.
来源:J Med Chem 1992,35(8),1484
合成路线图解说明:

Reformatskii reaction between 7-methoxy-1-tetralone (I) and the organozinc reagent generated from ethyl bromoacetate, followed by dehydration of the intermediate carbinol in the presence of P2O5 gives 2-(7-methoxy-1,2,3,4-tetrahydro-1-naphthylidene)acetic acid ethyl ester (II). Aromatization of compound (II) by heating with sulfur at 215 C results in the corresponding naphthalene derivative (III), which is submited to basic hydrolysis of the ethyl ester group (III) to provide 2-(7-methoxy-1-naphthyl)acetic acid (IV). After activation of (IV) with SOCl2, the crude acid chloride is treated with ammonium hydroxide to produce amide (V), which by direct reduction with LiAlH4 furnishes amine (VI) in low yields. An alternative procedure consists of the dehydration of amide (V) with trifluoroacetic anhydride to afford nitrile (VII), which is then reduced to the desired amine (VI) by catalytic hydrogenation. Finally, agomelatine is obtained by reaction of amine (VI) with acetyl chloride in pyridine or in a biphasic medium (H2O瑿HCl3) under Schotten-Baumann conditions.

参考文献No.274755
标题:Synthesis and structure-activity relationships of novel naphthalenic and bioisosteric related amidic derivatives as melatonin receptor ligands
作者:Depreux, P.; Mansour, H.A.; Lesieur, D.; Morgan, P.; Howell, H.E.; Renard, P.; Caignard, D.H.; Pfeiffer, B.; Delagrange, P.; Guardiola, B.; et al.
来源:J Med Chem 1994,37(20),3231
合成路线图解说明:

Reformatskii reaction between 7-methoxy-1-tetralone (I) and the organozinc reagent generated from ethyl bromoacetate, followed by dehydration of the intermediate carbinol in the presence of P2O5 gives 2-(7-methoxy-1,2,3,4-tetrahydro-1-naphthylidene)acetic acid ethyl ester (II). Aromatization of compound (II) by heating with sulfur at 215 C results in the corresponding naphthalene derivative (III), which is submited to basic hydrolysis of the ethyl ester group (III) to provide 2-(7-methoxy-1-naphthyl)acetic acid (IV). After activation of (IV) with SOCl2, the crude acid chloride is treated with ammonium hydroxide to produce amide (V), which by direct reduction with LiAlH4 furnishes amine (VI) in low yields. An alternative procedure consists of the dehydration of amide (V) with trifluoroacetic anhydride to afford nitrile (VII), which is then reduced to the desired amine (VI) by catalytic hydrogenation. Finally, agomelatine is obtained by reaction of amine (VI) with acetyl chloride in pyridine or in a biphasic medium (H2O瑿HCl3) under Schotten-Baumann conditions.

参考文献No.716379
标题:Agomelatine
作者:Silvestre, J.S.; Bay閟, M.; Chilman-Blair, K.; Casta馿r, J.
来源:Drugs Fut 2003,28(1),7
合成路线图解说明:

Reformatskii reaction between 7-methoxy-1-tetralone (I) and the organozinc reagent generated from ethyl bromoacetate, followed by dehydration of the intermediate carbinol in the presence of P2O5 gives 2-(7-methoxy-1,2,3,4-tetrahydro-1-naphthylidene)acetic acid ethyl ester (II). Aromatization of compound (II) by heating with sulfur at 215 C results in the corresponding naphthalene derivative (III), which is submited to basic hydrolysis of the ethyl ester group (III) to provide 2-(7-methoxy-1-naphthyl)acetic acid (IV). After activation of (IV) with SOCl2, the crude acid chloride is treated with ammonium hydroxide to produce amide (V), which by direct reduction with LiAlH4 furnishes amine (VI) in low yields. An alternative procedure consists of the dehydration of amide (V) with trifluoroacetic anhydride to afford nitrile (VII), which is then reduced to the desired amine (VI) by catalytic hydrogenation. Finally, agomelatine is obtained by reaction of amine (VI) with acetyl chloride in pyridine or in a biphasic medium (H2O瑿HCl3) under Schotten-Baumann conditions.

Drug Information Express,Drug R&D,Chemical Database,Patent Search.
Copyright © 2006-2026 Drug Future. All rights reserved.Contact Us