【药物名称】Iofratol, B-19470
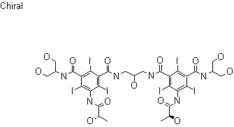
化学结构式(Chemical Structure):
参考文献No.20158
标题:1,3-Bis[3-(mono- or poly-hydroxy)acylamino-5-(mono- or poly-hydroxyalkyl)aminocarbonyl-2,4,6-triiodo-benzoyl-amino]-hydroxy-or hydroxyalkyl-propanes, their methods of preparation and X-ray contrast media containing them
作者:Uggeri, F.; Brocchetta, M. (Bracco SpA)
来源:EP 0557345; JP 1994504268; WO 9208691
合成路线图解说明:

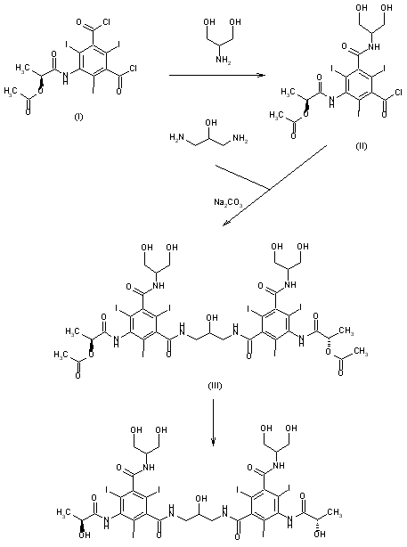
The synthetic pathway is shown in Scheme 19316401a: Treatment of (S)-5-[(2-acetyloxy-1-oxopropyl)amino]-2,4,6-triiodo-1,3-benzenedicarbonyldichloride (I) with 2-amino-1,3-propanediol in diglyme yields (S)-3-[(2-acetyloxy-1-oxopropyl)amino]-5-[[[2-hydroxy-1-(hydroxymethyl)ethyl]amino]carbonyl]-2,4,6-triiodobenzenecarbonylchloride (II). Compound (II) is treated with 1,3-diamino-2-propanol to give the dimeric compound [(S)-(R*,R*)]-N,N''-(2-hydroxy-1,3-propanediyl)bis[N'-[2-hydroxy-1-(hydroxymethyl)ethyl]-5-[(2-acetyloxy-1-oxopropyl)amino]-2,4,6-triiodo-1,3-benzenedicarboxamide] (III). Hydrolysis of compound (III) and desalting of its aqueous solution gives a crude [S-(R*,R*)]-N,N''-(2-hydroxy-1,3-propanediyl)bis[N'-[2-hydroxy-1-(hydroxymethyl)ethyl]-5-[(2-hydroxy-1-oxopropyl)amino]-2,4,6-triiodo-1,3-benzenedicarboxamide, which is subsequently purified through a bed of adsorbent resin.

参考文献No.323222
标题:Iofratol
作者:Luzzani, F.L.; Ha雗, C.
来源:Drugs Fut 1995,20(11),1120
合成路线图解说明:

The synthetic pathway is shown in Scheme 19316401a: Treatment of (S)-5-[(2-acetyloxy-1-oxopropyl)amino]-2,4,6-triiodo-1,3-benzenedicarbonyldichloride (I) with 2-amino-1,3-propanediol in diglyme yields (S)-3-[(2-acetyloxy-1-oxopropyl)amino]-5-[[[2-hydroxy-1-(hydroxymethyl)ethyl]amino]carbonyl]-2,4,6-triiodobenzenecarbonylchloride (II). Compound (II) is treated with 1,3-diamino-2-propanol to give the dimeric compound [(S)-(R*,R*)]-N,N''-(2-hydroxy-1,3-propanediyl)bis[N'-[2-hydroxy-1-(hydroxymethyl)ethyl]-5-[(2-acetyloxy-1-oxopropyl)amino]-2,4,6-triiodo-1,3-benzenedicarboxamide] (III). Hydrolysis of compound (III) and desalting of its aqueous solution gives a crude [S-(R*,R*)]-N,N''-(2-hydroxy-1,3-propanediyl)bis[N'-[2-hydroxy-1-(hydroxymethyl)ethyl]-5-[(2-hydroxy-1-oxopropyl)amino]-2,4,6-triiodo-1,3-benzenedicarboxamide, which is subsequently purified through a bed of adsorbent resin.

参考文献No.801472
标题:Contrast media research. An investment for the future
作者:Renaa, T.; Jakobsen, T.
来源:Acta Radiol 1987,Suppl. 3709-11
合成路线图解说明:

The synthetic pathway is shown in Scheme 19316401a: Treatment of (S)-5-[(2-acetyloxy-1-oxopropyl)amino]-2,4,6-triiodo-1,3-benzenedicarbonyldichloride (I) with 2-amino-1,3-propanediol in diglyme yields (S)-3-[(2-acetyloxy-1-oxopropyl)amino]-5-[[[2-hydroxy-1-(hydroxymethyl)ethyl]amino]carbonyl]-2,4,6-triiodobenzenecarbonylchloride (II). Compound (II) is treated with 1,3-diamino-2-propanol to give the dimeric compound [(S)-(R*,R*)]-N,N''-(2-hydroxy-1,3-propanediyl)bis[N'-[2-hydroxy-1-(hydroxymethyl)ethyl]-5-[(2-acetyloxy-1-oxopropyl)amino]-2,4,6-triiodo-1,3-benzenedicarboxamide] (III). Hydrolysis of compound (III) and desalting of its aqueous solution gives a crude [S-(R*,R*)]-N,N''-(2-hydroxy-1,3-propanediyl)bis[N'-[2-hydroxy-1-(hydroxymethyl)ethyl]-5-[(2-hydroxy-1-oxopropyl)amino]-2,4,6-triiodo-1,3-benzenedicarboxamide, which is subsequently purified through a bed of adsorbent resin.

参考文献No.801473
标题:Physicochemical parameters of X-ray contrast media
作者:Heimann, G.; Kollenkirchen, U.; Miklautz, H.; Krause, W.
来源:Invest Radiol 1994,2972-80
合成路线图解说明:

The synthetic pathway is shown in Scheme 19316401a: Treatment of (S)-5-[(2-acetyloxy-1-oxopropyl)amino]-2,4,6-triiodo-1,3-benzenedicarbonyldichloride (I) with 2-amino-1,3-propanediol in diglyme yields (S)-3-[(2-acetyloxy-1-oxopropyl)amino]-5-[[[2-hydroxy-1-(hydroxymethyl)ethyl]amino]carbonyl]-2,4,6-triiodobenzenecarbonylchloride (II). Compound (II) is treated with 1,3-diamino-2-propanol to give the dimeric compound [(S)-(R*,R*)]-N,N''-(2-hydroxy-1,3-propanediyl)bis[N'-[2-hydroxy-1-(hydroxymethyl)ethyl]-5-[(2-acetyloxy-1-oxopropyl)amino]-2,4,6-triiodo-1,3-benzenedicarboxamide] (III). Hydrolysis of compound (III) and desalting of its aqueous solution gives a crude [S-(R*,R*)]-N,N''-(2-hydroxy-1,3-propanediyl)bis[N'-[2-hydroxy-1-(hydroxymethyl)ethyl]-5-[(2-hydroxy-1-oxopropyl)amino]-2,4,6-triiodo-1,3-benzenedicarboxamide, which is subsequently purified through a bed of adsorbent resin.

Drug Information Express,Drug R&D,Chemical Database,Patent Search.
Copyright © 2006-2026 Drug Future. All rights reserved.Contact Us