【药物名称】Temiverine hydrochoride hydrate, NS-21, Urespan
化学结构式(Chemical Structure):
参考文献No.12202
标题:Butynylamine derivs.
作者:Kimura, K.; Kise, M.; Morita, I. (Nippon Shinyaku Co., Ltd.)
来源:EP 0359311; FR 2639044; GB 2222828; JP 1990218651; US 5036098
合成路线图解说明:

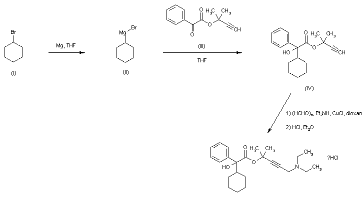
The Grignard reagent (II), prepared from cyclohexyl bromide (I), was added to 1,1-dimethyl-2-propynyl benzoylformate (III) to produce the hydroxy ester (IV). Subsequent Mannich reaction of (IV) with paraformaldehyde and diethylamine in the presence of cuprous bromide yielded the title propargylamine derivative, which was finally isolated as the corresponding hydrochloride salt .

Drug Information Express,Drug R&D,Chemical Database,Patent Search.
Copyright © 2006-2026 Drug Future. All rights reserved.Contact Us