【药物名称】NSC-650426, SPK-241, KRN-5500
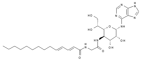
化学结构式(Chemical Structure):
参考文献No.19931
标题:Spicamycin derivs. and the use thereof
作者:Otake, N.; Kawai, H.; Kawasaki, T.; Odagawa, A.; Kamishohara, M.; Sakai, T. (Kirin Brewery Co., Ltd.)
来源:EP 0525479; JP 1993186494; US 5461036; US 5631238
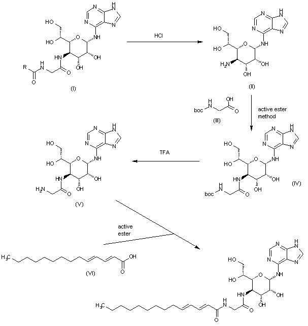
合成路线图解说明:

The hydrolysis of the spicamycin mixture (I) with R = alkyl by means of HCl in alcohol or water gives 6-(spicaminylamino)purine (II). (The hydrolysis can also be performed with other inorganic acids such as H2SO4 or organic ones such as acetic acid or formic acid.) The condensation of (II) with N-(tert-butoxycarbonyl)glycine (III) by the active ester method yields the protected glycyl derivative (IV), which is deprotected with TFA (or methanolic HCl) to afford the glycyl derivative (V). Finally, this compound is condensed with tetradeca-2(E),4(E)-dienoic acid (VI) by the active ester method to provide the target carboxamide derivative.

Drug Information Express,Drug R&D,Chemical Database,Patent Search.
Copyright © 2006-2026 Drug Future. All rights reserved.Contact Us