【药物名称】CP-99994
化学结构式(Chemical Structure):
参考文献No.544124
标题:Stereoselective synthesis of (+)-CP-99,994: A substance P non-peptide antagonist
作者:Chandrasekhar, S.; Mohanty, P.K.
来源:Tetrahedron Lett 1999,40(27),5071
合成路线图解说明:

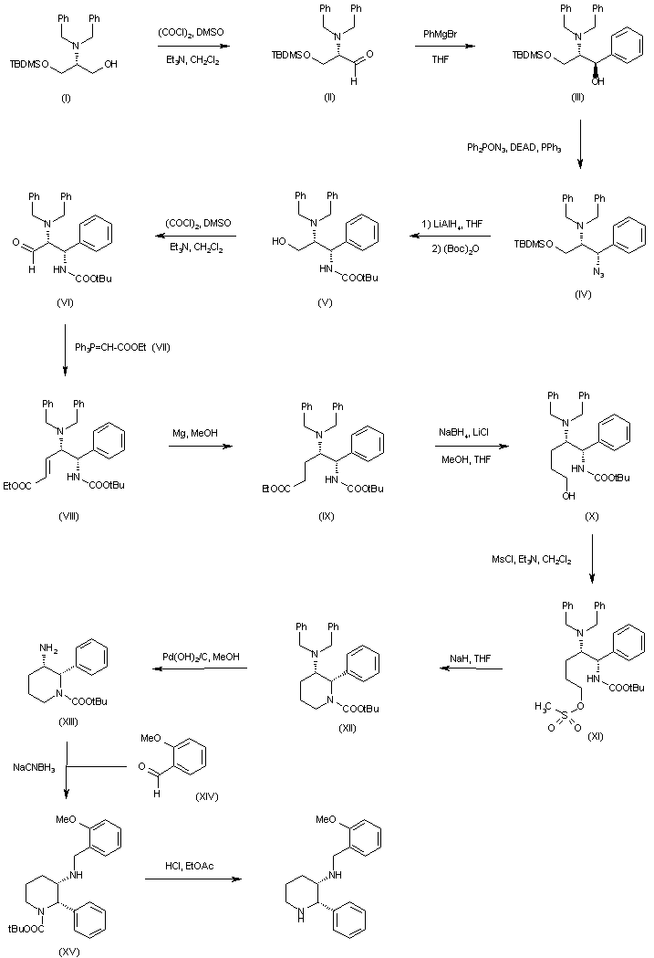
Swern oxidation of N,N-dibenzyl-O-(tert-butyldimethylsilyl)serinol (I) afforded the intermediate aldehyde (II), which was condensed with phenylmagnesium bromide to give carbinol (III) as the major diastereoisomer. Displacement of the hydroxyl group of (III) with diphenylphosphoryl azide in the presence of diethyl azodicarboxylate and triphenylphosphine provided azide (IV). This was reduced to the corresponding amine with concomitant desilylation using LiAlH4. Further in situ addition of (Boc)2O produced carbamate (V). The alcohol function of (V) was then oxidized under Swern conditions, and the resulting aldehyde (VI) was condensed with phosphonate (VII) to yield unsaturated ester (VIII). Reduction of (VIII) to the saturated ester (IX) with Mg in MeOH, and further reduction of the ester group employing lithium borohydride gave rise to alcohol (X). After conversion of (X) to mesylate (XI), cyclization in the presence of NaH in THF furnished piperidine (XII). Debenzylation of (XII) afforded primary amine (XIII), which was reductively alkylated with 2-methoxybenzaldehyde (XIV) in the presence of NaCNBH3 to provide (XV). Finally, acid deprotection of the Boc group of (XV) yielded the title compound.

参考文献No.629729
标题:Nucleophilic addition of methyllithium to chiral oxime ethers: Asymmetric preparation of 1-(aryl)ethylamines and application to a synthesis of calcimimetics (+)-NPS R-568 and its thio analogue
作者:Yamazaki, N.; et al.
来源:Tetrahedron Lett 2001,42(30),5029
合成路线图解说明:

The reaction of 1(R)-phenylethane-1,2-diol (I) with N-hydroxyphthalimide (II) by means of DEAD and PPh3 gives the N-alcoxyphthalimide (III) with(S)-configuration. The hydrazinolysis of (III) with hydrazine hydrate affords the O-alkylhydroxylamine (IV), which is condensed with benzaldehyde (V) to provide the alkylated benzaldoxime (VI). The alkylation of the oxime (VI) with vinyl lithium (VII) in toluene gives the N, O dialkylated hydroxylamine (VIII), which is treated with Zn and AcOH to yield 1(R)-phenylallylamine (IX). The protection of the amine (IX) with Boc2O and NaOH affords the carbamate (X), which is oxidized at the vinyl double bond by means of OsO4 and NaIO4 to provide the acetaldehyde (XI). The reaction of aldehyde (XI) with allylmagnesium bromide (XII) in ethyl ether gives the aminoalcohol (XIII), which is protected with Tbdms-Cl and imidazole to yield the silyl ether (XIV).

合成路线图解说明:

A new procedure for the asymmetric synthesis of amine (III) was reported. Mitsunobu coupling of N-hydroxyphthalimide (V) with the chiral auxiliary (R)-phenylglycol (IV) yielded the (S)-alkoxyphthalimide (VI). Hydrazinolysis of (VI) provided the free alkoxyamine (VII), which was condensed with 3-methoxybenzaldehyde (VIII) to afford oxime (IX). Diastereoselective addition of methyllithium to the oxime ether (IX) led to the methyl adduct (X) as the major isomer. Then, reductive N-O bond cleavage to furnish amine (III) was carried out by using zinc-acetic acid or, with an improved yield, using molybdenum hexacarbonyl.

合成路线图解说明:

In an alternative procedure, alkylation of diethyl malonate with 2-chlorobenzyl chloride (XIV) afforded malonate (XV), which underwent hydrolysis and further decarboxylation to the arylpropionic acid (XVI) upon refluxing with HCl and HOAc. Coupling of acid (XVI) with the chiral amine (III) to give amide (XVII) was performed in refluxing toluene with azeotropic removal of water or, alternatively, by using DCC as the coupling reagent. Amide (XVII) was finally reduced to the corresponding amine by means of borane in tetrahydrofuran or with DIBAL in CH2Cl2.

参考文献No.703161
标题:Enantioselective synthesis of NK-1 receptor antagonists (+)-CP-99,994 and (+)-CP-122,721
作者:Yamazaki, N.; et al.
来源:Tetrahedron Lett 2002,43(44),7979
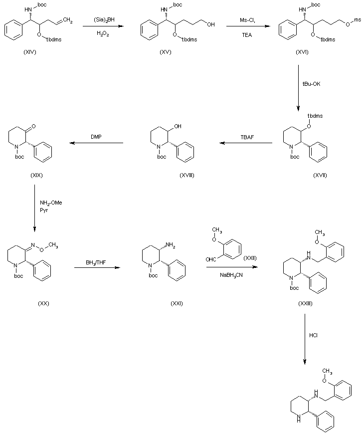
合成路线图解说明:

). The hydroxylation of the double bond of (XIV) by means of (Sia)2BH and H2O2 affords the pentanol (XV), which is treated with MsCl and TEA to provide the mesylate (XVI). The cyclization of (XVI) by means of t-BuOK in THF gives the piperidine (XVII), which is desilylated by means of TBAF to yield the piperidinol (XVIII). The oxidation of (XVIII) by means of DMP affords the piperidinone (XIX), which is treated with O-methylhydroxylamine and pyridine to provide the O-methyloxime (XX). The reduction of (XX) with BH3/THF gives the cis-disubstituted piperidine (XXI), which is submitted to a reductocondensation with 2-methoxybenzaldehyde (XXII) by means of NaBH3CN in methanol to yield the secondary amine (XXIII). Finally, the carbamate group of (XXIII) is cleaved by means of HCl in methanol to provide the target piperidine derivative

参考文献No.739743
标题:Asymmetric synthesis of (+)-L-733, 060 and (+)-CP-99, 994 based on a new chiral 3-piperidinol synthon
作者:Huang, P.-Q.; Liu, L.-X.; Wei, B.-G.; Ruan, Y.-P.
来源:Org Lett 2003,5(11),1927
合成路线图解说明:

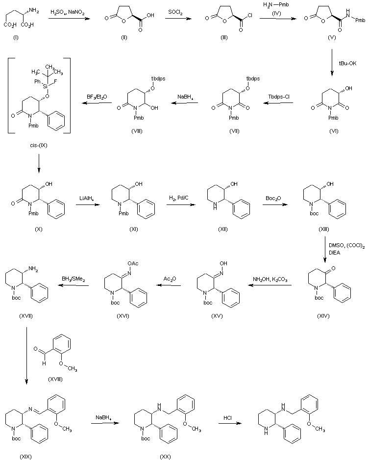
The cyclization of (S)-glutamic acid (I) by means of H2SO4 and NaNO2 gives the gamma lactone (II), which is treated with hot SOCl2 to yield the corresponding acyl chloride (III). The reaction of (III) with 4-methoxybenzylamine (IV) affords the expected amide (V), which is submitted to rearrangement in the presence of t-BuOK in THF to provide piperidinedione (VI). The reaction of (VI) with Tbdps-Cl and imidazole gives the silyl ether (VII), which is reduced with NaBH4 in methanol to yield a mixture of regioisomers (VIII). The phenyl migration in (VIII) was easily promoted by reaction with BF3/Et2O through the nonisolated intermediate cis-(IX) to yield (X). The reduction of (X) by means of LiAlH4 in THF affords the N-protected hydroxypiperidine (XI), which is deprotected by hydrogenation with H2 over Pd/C in ethanol to provide the free hydroxypiperidine (XII). The reprotection of (XII) with Boc2O gives the carbamate-protected piperidine (XIII), which is oxidized by means of DMSO, (COCl)2 and DIEA in dichloromethane to yield piperidone (XIV). The reaction of (XIV) with NH2OH and K2CO3 affords the corresponding oxime (XV), which is treated with Ac2O in THF to provide the O-acetyloxime (XVI). The reduction of (XVI) with BH3/Me2S in hot THF gives the expected amine (XVII), which is condensed with 2-methoxybenzaldehyde (XVIII) in THF to yield the imine (XIX). The reduction of (XIX) with NaBH4 in methanol affords the protected benzylamine (XX), which is finally deprotected by means of HCl in methanol to provide CP-99,994.

Drug Information Express,Drug R&D,Chemical Database,Patent Search.
Copyright © 2006-2026 Drug Future. All rights reserved.Contact Us