【药物名称】Perfosfamide, NPC-15520, 4-HPCy, 40,487, NSC-181815, 4-HC
化学结构式(Chemical Structure):
参考文献No.47464
标题:Hydroperoxy substituted cyclic phosphamides
作者:Takamizawa, A.; Iwata, T. (Shionogi & Co. Ltd.)
来源:DE 2231311; FR 2147956; US 3808297
合成路线图解说明:

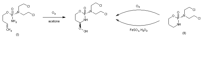
This compound can be obtained in three different ways: 1) By ozonolysis of 3-butenyl-N,N-bis(2-chloroethyl)phosphorodiamidate (I) in aqueous acetone. 2) By the Fenton's oxidation (FeSO4, H2O2) of cyclophosphamide (II). 3) By ozonization of cyclophosphamide (II) in acetone - water.

参考文献No.800412
标题:Cyclophosphamide metabolites and their related compounds. II. Preparatio of an active species of cyclophosphamide and some related compounds
作者:Katagiri, K.; Matsumoto, S.; Iwata, T.; Yamaguchi, K.; Tochino, Y.; Takamizawa, A.
来源:J Am Chem Soc 1973,95(3),985-986
合成路线图解说明:

This compound can be obtained in three different ways: 1) By ozonolysis of 3-butenyl-N,N-bis(2-chloroethyl)phosphorodiamidate (I) in aqueous acetone. 2) By the Fenton's oxidation (FeSO4, H2O2) of cyclophosphamide (II). 3) By ozonization of cyclophosphamide (II) in acetone - water.

参考文献No.800413
标题:Cyclophosphamide metabolites and their related compounds. III. 4-Hydrocyclophosphamide anhydro dimer. Revised structure of the Fenton oxidation product of cyclophosphamide
作者:Takamizawa, A.; Matsumoto, S.; Iwata, T.
来源:Tetrahedron Lett 1974,(6),517-520
合成路线图解说明:

This compound can be obtained in three different ways: 1) By ozonolysis of 3-butenyl-N,N-bis(2-chloroethyl)phosphorodiamidate (I) in aqueous acetone. 2) By the Fenton's oxidation (FeSO4, H2O2) of cyclophosphamide (II). 3) By ozonization of cyclophosphamide (II) in acetone - water.

参考文献No.800414
标题:Cyclophosphamide. Complete inhibition of murine leukemia L1210 in vivo by a Fenton oxidation product
作者:Laster, W.R. Jr.; Struck, R.F.; Coburn, W.C. Jr.; Thorpe, M.C.
来源:J Am Chem Soc 1974,96(1),313-315
合成路线图解说明:

This compound can be obtained in three different ways: 1) By ozonolysis of 3-butenyl-N,N-bis(2-chloroethyl)phosphorodiamidate (I) in aqueous acetone. 2) By the Fenton's oxidation (FeSO4, H2O2) of cyclophosphamide (II). 3) By ozonization of cyclophosphamide (II) in acetone - water.

参考文献No.800415
标题:4-Hydroperoxidation in the Fenton oxidation of the antitumor agent cyclophosphamide
作者:Van der Steen, J.; Benckhuysen, C.; Westra, J.G.; Timmes, E.C.
来源:J Am Chem Soc 1973,95(22),7535-36
合成路线图解说明:

This compound can be obtained in three different ways: 1) By ozonolysis of 3-butenyl-N,N-bis(2-chloroethyl)phosphorodiamidate (I) in aqueous acetone. 2) By the Fenton's oxidation (FeSO4, H2O2) of cyclophosphamide (II). 3) By ozonization of cyclophosphamide (II) in acetone - water.

参考文献No.800416
标题:Studies on 4-hydrocyclophosphamide (NSC-181815): A simple preparation method and its application for the synthesis of a new class of "acticvated" sulfur-containing cyclophosphamide (NSC-26271) derivatives
作者:Wagner, T.; Hohorst, H.J.; Peter, G.
来源:Cancer Treat Rep 1976,60(4),429-435
合成路线图解说明:

This compound can be obtained in three different ways: 1) By ozonolysis of 3-butenyl-N,N-bis(2-chloroethyl)phosphorodiamidate (I) in aqueous acetone. 2) By the Fenton's oxidation (FeSO4, H2O2) of cyclophosphamide (II). 3) By ozonization of cyclophosphamide (II) in acetone - water.

参考文献No.800417
标题:4-HPCy
作者:Serradell, M.N.; Blancafort, P.; Casta馿r, J.; Hopkins, S.J.
来源:Drugs Fut 1982,7(7),481
合成路线图解说明:

This compound can be obtained in three different ways: 1) By ozonolysis of 3-butenyl-N,N-bis(2-chloroethyl)phosphorodiamidate (I) in aqueous acetone. 2) By the Fenton's oxidation (FeSO4, H2O2) of cyclophosphamide (II). 3) By ozonization of cyclophosphamide (II) in acetone - water.

Drug Information Express,Drug R&D,Chemical Database,Patent Search.
Copyright © 2006-2026 Drug Future. All rights reserved.Contact Us