【药物名称】Meclinertant, Reminertant, SR-48692
化学结构式(Chemical Structure):
参考文献No.17213
标题:Amido-3-pyrazole derivs., process for their preparation and pharmaceutical compsns. containing them
作者:Boigegrain, R.; Gully, D.; Jeanjean, F.; Molimard, J.-C. (Sanofi-Synth閘abo )
来源:EP 0477049; FR 2665898; JP 1992244065; US 5420141; US 5607958; US 5616592; US 5635526; US 5744491; US 5744493
合成路线图解说明:

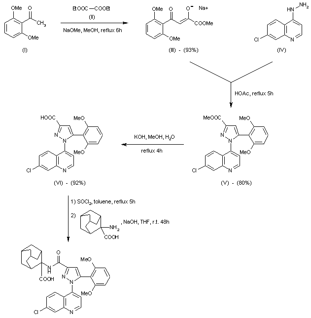
The condensation of 2',6'-dimethoxyacetophenone (I) with diethyl oxalate (II) by means of sodium methoxide in refluxing methanol gives the dioxobutyrate (III), which is cyclized with 7-chloroquinoline-4-hydrazine (IV) in refluxing acetic acid yielding the pyrazole derivative (V). The hydrolysis of the ester group of (V) with KOH in refluxing methanol/water affords the corresponding carboxylic acid (VI), which is finally treated with SOCl2 in refluxing toluene and condensed with 2-aminoadamantane-2-carboxylic acid.

参考文献No.233925
标题:Neurotensin receptor agonists and antagonists
作者:Maffrand, J.P.; Gully, D.; Boigegrain, R.; Soubrie, P.; Kitabgi, P.; Rostene, W.; Le Fur, G.
来源:Drugs Fut 1993,18(12),1137
合成路线图解说明:

The condensation of 2',6'-dimethoxyacetophenone (I) with diethyl oxalate (II) by means of sodium methoxide in refluxing methanol gives the dioxobutyrate (III), which is cyclized with 7-chloroquinoline-4-hydrazine (IV) in refluxing acetic acid yielding the pyrazole derivative (V). The hydrolysis of the ester group of (V) with KOH in refluxing methanol/water affords the corresponding carboxylic acid (VI), which is finally treated with SOCl2 in refluxing toluene and condensed with 2-aminoadamantane-2-carboxylic acid.

Drug Information Express,Drug R&D,Chemical Database,Patent Search.
Copyright © 2006-2026 Drug Future. All rights reserved.Contact Us