【药物名称】A-5021
化学结构式(Chemical Structure):
参考文献No.18747
标题:Cyclopropane deriv.
作者:Hatsuya, S.; Sekiyama, T.; Tsuji, T.; Iwayama, S.; Okunishi, M. (Ajinomoto Co., Inc.)
来源:EP 0502690; JP 1993194421; US 5342840; US 5449840
合成路线图解说明:

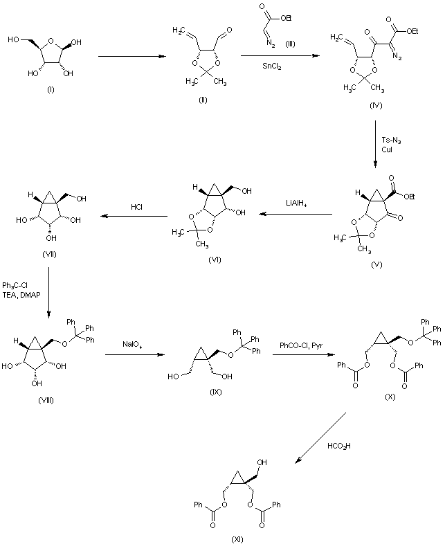
The condensation of diethyl malonate (I) with (R)-(-)-epichlorohydrin (II) by means of NaOEt in ethanol gives (3aS,4aR)-3-oxo-3,3a,4,4a-tetrahydro-1H-cyclopropa[c]furan-3a-carboxylic acid ethyl ester (III), which is selectively reduced at the lactone group by means of sodium borohydride in ethanol to yield (1R,2R)-1,2-bis(hydroxymethyl)cyclopropanecarboxylic acid ethyl ester (IV). The protection of (IV) with 2,2-dimethoxypropane (V) and Ts-OH in DMF affords the cyclic acetonide (VI), which is reduced with LiBH4 in THF to provide the hydroxymethyl acetonide (VII). The protection of the OH group of (VII) with benzyl bromide and NaH in DMF gives the benzyl ether (VIII), which is treated with HCl in THF/water to cleave the acetonide ring and yield the bis hydroxymethyl compound (IX). The acylation of (IX) with benzoyl chloride and pyridine affords the dibenzoate (X), which is debenzylated with H2 over Pd/C in ethanol/acetic acid to provide (1S,2R)-1,2-bis(benzoyloxymethyl)cyclopropanemethanol (XI). The reaction of (XI) with Ts-OH and DMAP in dichloromethane gives the corresponding tosylate (XII), which is condensed with 6-O-benzylguanine (XIII) by means of K2CO3 in DMF to yield the fully protected nucleoside (XIV). The hydrolysis of the benzoyl group of (XIV) by means of NaOMe in methanol affords the dihydroxy compound (XV), which is finally debenzylated by means of HCl in ethanol/water to provide the target guanine cyclopropyl nucleoside.

参考文献No.459984
标题:Synthesis and antiviral activity of novel acyclic nucleosides: Discovery of a cyclopropyl nucleoside with potent inhibitory activity against herpesviruses
作者:Sekiyama, T.; Hatsuya, S.; Tanaka, Y.; Uchiyama, M.; Ono, N.; Iwayama, S.; Oikawa, M.; Suzuki, K.; Okunishi, M.; Tsuji, T.
来源:J Med Chem 1998,41(8),1284
合成路线图解说明:

The condensation of diethyl malonate (I) with (R)-(-)-epichlorohydrin (II) by means of NaOEt in ethanol gives (3aS,4aR)-3-oxo-3,3a,4,4a-tetrahydro-1H-cyclopropa[c]furan-3a-carboxylic acid ethyl ester (III), which is selectively reduced at the lactone group by means of sodium borohydride in ethanol to yield (1R,2R)-1,2-bis(hydroxymethyl)cyclopropanecarboxylic acid ethyl ester (IV). The protection of (IV) with 2,2-dimethoxypropane (V) and Ts-OH in DMF affords the cyclic acetonide (VI), which is reduced with LiBH4 in THF to provide the hydroxymethyl acetonide (VII). The protection of the OH group of (VII) with benzyl bromide and NaH in DMF gives the benzyl ether (VIII), which is treated with HCl in THF/water to cleave the acetonide ring and yield the bis hydroxymethyl compound (IX). The acylation of (IX) with benzoyl chloride and pyridine affords the dibenzoate (X), which is debenzylated with H2 over Pd/C in ethanol/acetic acid to provide (1S,2R)-1,2-bis(benzoyloxymethyl)cyclopropanemethanol (XI). The reaction of (XI) with Ts-OH and DMAP in dichloromethane gives the corresponding tosylate (XII), which is condensed with 6-O-benzylguanine (XIII) by means of K2CO3 in DMF to yield the fully protected nucleoside (XIV). The hydrolysis of the benzoyl group of (XIV) by means of NaOMe in methanol affords the dihydroxy compound (XV), which is finally debenzylated by means of HCl in ethanol/water to provide the target guanine cyclopropyl nucleoside.

参考文献No.686833
标题:Carbocyclic nucleoside precursors by intramolecular cyclopropanation of sugar-derived diazo compounds
作者:Gallos, J.K.; et al.
来源:Tetrahedron Lett 2001,42(42),7489
合成路线图解说明:

The chiral dihydroxypentenal acetonide (II) is obtained from D-ribose (I) by known methods. The condensation of (II) with ethyl diazoacetate (III) by means of SnCl2 in dichloromethane gives diazocompound (IV), which is submitted to an intramolecular cyclopropanation by means of Ts-N3 and CuI in refluxing toluene to afford the bicyclo[3,1,0] hexane derivative (V). The reduction of the ketone and ester groups of (V) by means of LiAlH4 in ethyl ether provides the bicyclo diol (VI), which is deprotected with HCl in THF/water to give the chiral tetrol (VII). Selective protection of the primary OH group of (VII) with trityl chloride, TEA and DMAP in DMF yields the trityl ether (VIII), which is oxidized with NaIO4 in THF/water to afford tritylated (1S,2R)-1,2-bis(hydroxymethyl)cyclopropanemethanol (IX). The acylation of (IX) with benzoyl chloride and pyridine provides the tritylated diester (X), which is finally deprotected with formic acid in ethyl ether to furnish the target intermediate (1S,2R)-bis(benzoyloxy)cyclopropanemethanol (XI) (see intermediate (XI) in scheme no. 19209002a of the current synthesis).

参考文献No.686834
标题:A practical synthesis of antiviral cyclopropane nucleoside A-5021
作者:Onishi, T.; et al.
来源:Tetrahedron Lett 1999,40(50),8845
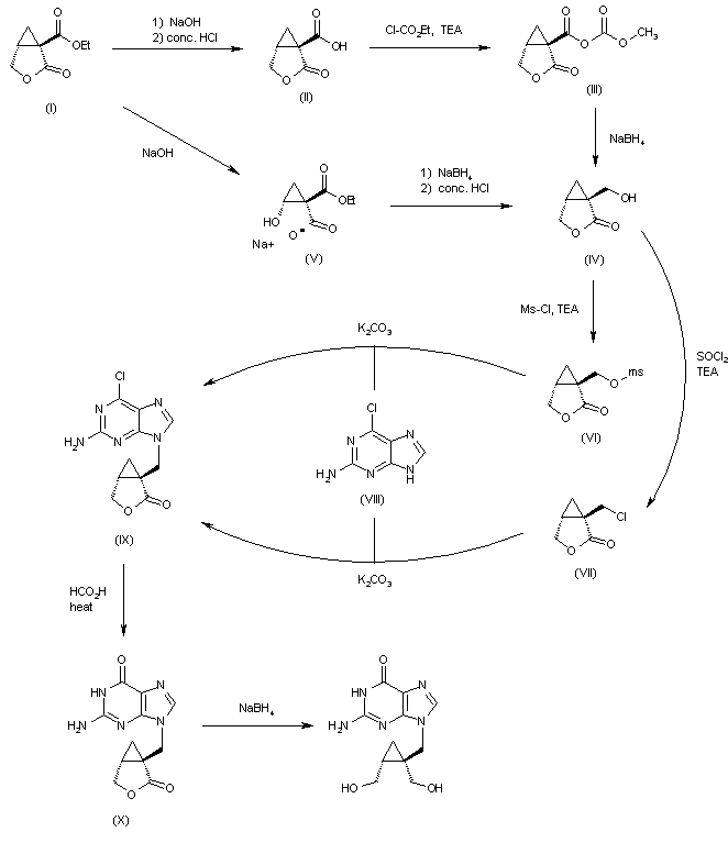
合成路线图解说明:

The selective hydrolysis of the ester group of the chiral cyclopropafuranone (I) with an excess of NaOH, followed by ring closing with HCl, gives the carboxylic acid (II), which is treated with ethyl chloroformate and TEA in THF to yield the mixed anhydride (III). The reduction of the anhydride group of (III) with NaBH4 in THF/water affords the chiral hydroxymethyl cyclopropafuranone (IV). Alternatively, the selective hydrolysis of the lactone group of (I) with 1 equivalent of NaOH provides the malonic hemiester hemi sodium salt (V), which is reduced with NaBH4 and cyclized with conc. HCl to give the already reported hydroxymethyl cyclopropafuranone (IV). The reaction of (IV) with Ms-Cl and TEA or with SOCl2 and TEA yields the mesyloxymethyl (VI) or the chloromethyl (VII) compounds, which are condensed with 2-amino-6-chloropurine (VIII) by means of K2CO3 in hot DMF to afford the adduct (IX). The hydrolysis of the chlorine atom of (IX) by means of HCOOH at 100 C provides the guanine derivative (X). Finally, the lactone group of (X) is reduced with NaBH4 in hot ethanol to give the target cyclopropane nucleoside.

Drug Information Express,Drug R&D,Chemical Database,Patent Search.
Copyright © 2006-2026 Drug Future. All rights reserved.Contact Us