【药物名称】Dronedarone hydrochloride, SR-33589B
化学结构式(Chemical Structure):
参考文献No.17003
标题:Benzofuran derivs., benzothiophenes, indoles or indolizines, process for production and compsns. containing them
作者:Gubin, J.; Lucchetti, J.; Inion, H.; Chatelain, P.; Rosseels, G.; Kilenyi, S. (Sanofi-Synth閘abo)
来源:EP 0471609; FR 2665444; JP 1992316554; US 5223510
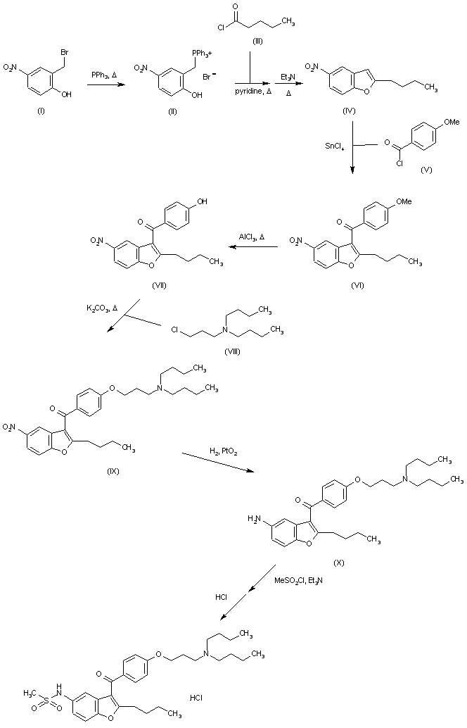
合成路线图解说明:

Treatment of 2-hydroxy-5-nitrobenzyl bromide (I) with triphenylphosphine in refluxing chloroform provides phosphonium bromide derivative (II), which is converted into 2-butyl-5-nitro benzofuran (IV) by first reaction with pentanoyl chloride (III) in refluxing chloroform in the presence of pyridine, followed by treatment with Et3N in refluxing toluene. Acylation of (IV) with anisoyl chloride (V) by means of tin tetrachloride in dichloroethane furnishes 2-butyl-3-(4-methoxy benzoyl)-5-nitro benzofuran (VI), whose methoxy group is then converted into an hydroxy group by treatment with aluminum chloride in refluxing dichloroethane, yielding hydroxy benzoyl derivative (VII). Condensation of (VII) with N,N-dibutyl-N-(3-chloropropyl)amine (VIII) by means of K2CO3 in refluxing butanone affords compound (IX), which is then hydrogenated over PtO2 in EtOH to give amino derivative (X). Finally, the target product is obtained by reaction of (X) with methanesulfonyl chloride and Et3N in dichloroethane and hydrochloride salt formation with HCl in AcOEt/ethyl ether.

Drug Information Express,Drug R&D,Chemical Database,Patent Search.
Copyright © 2006-2026 Drug Future. All rights reserved.Contact Us