【药物名称】PD-137966
化学结构式(Chemical Structure):
参考文献No.18733
标题:2-Substd. thiazolidinone, oxazolidinone, and imidazolidinone derivs. of fenamates as antiinflammatory agents
作者:Belliotti, T.R.; Boschelli, D.H.; Connor, D.T.; Kostlan, C.R. (Pfizer Inc.)
来源:US 5143929
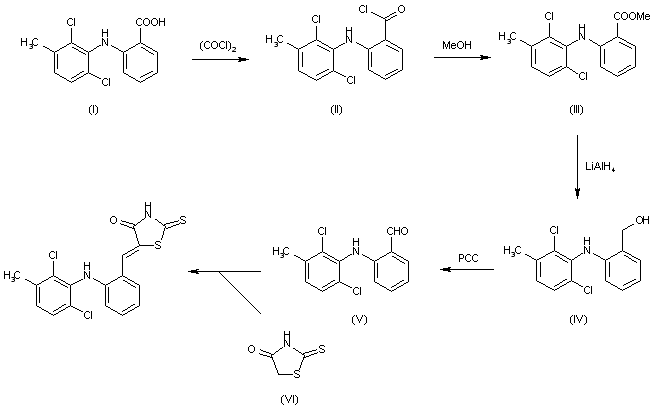
合成路线图解说明:

The reaction of meclofenamic acid (I) with oxalyl chloride in dichloromethane gives the corresponding acyl chloride (II), which by reaction with methanol yields the methyl ester (III). The reduction of (III) with LiAlH4 in THF affords the methanol derivative (IV), which by oxidation with pyridinium chlorochromate (PCC) is converted into the aldehyde (V). Finally, this compound is condensed with 2-thioxothiazolidin-4-one (VI) by means of beta-alanine in refluxing acetic acid.

参考文献No.538832
标题:Synthesis and cyclooxygenase and 5-lipoxygenase inhibitory activity of some thiazolidene-4-one analogs of meclofenamic acid
作者:Connor, D.T.; Boschelli, D.H.; Wright, C.D.; Kuipers, P.J.
来源:Bioorg Med Chem Lett 1992,2(7),708
合成路线图解说明:

The reaction of meclofenamic acid (I) with oxalyl chloride in dichloromethane gives the corresponding acyl chloride (II), which by reaction with methanol yields the methyl ester (III). The reduction of (III) with LiAlH4 in THF affords the methanol derivative (IV), which by oxidation with pyridinium chlorochromate (PCC) is converted into the aldehyde (V). Finally, this compound is condensed with 2-thioxothiazolidin-4-one (VI) by means of beta-alanine in refluxing acetic acid.

Drug Information Express,Drug R&D,Chemical Database,Patent Search.
Copyright © 2006-2026 Drug Future. All rights reserved.Contact Us