【药物名称】Zanamivir, GR-121167X(former code), GG-167, 4-Guanidino-Neu5Ac2en, Relenza
化学结构式(Chemical Structure):
参考文献No.26552
标题:Synthesis of N-acetyl neuraminic acid derivs
作者:Weir, N.G.; Chandler, M.; Bamford, M.J. (Glaxo Wellcome plc)
来源:WO 9407885
合成路线图解说明:

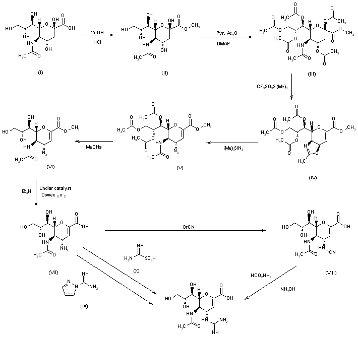
1) The esterification of N-acetylneuraminic acid (I) with methanol/HCl gives the corresponding methyl ester (II), which is acetylated with acetic anhydride, pyridine and dimethylaminopyridine (DMAP) yielding the pentaacetate (III). The reaction of (III) with trimethylsilyl trifluoromethanesulfonate in ethyl acetate affords the 2,3-didehydro derivative (IV), which is treated with trimethylsilyl azide in butanol to give the 4-azido derivative (V). The selective deacetylation of (V) with sodium methoxide in methanol yields N-acetyl-4-azido-2,4-dideoxy-2,3-didehydroneuraminic acid methyl ester (VI), which is reduced with H2 over Lindlar catalyst (Pd-Pb) in water and treated with Dowex 8x2 resin to afford the N-acetyl-4-amino-2,4-dideoxy-2,3-didehydroneuraminic acid (VII). The reaction of (VII) with BrCN and sodium acetate in methanol gives the corresponding 4-cyanoamino derivative (VIII), which is converted into the final product by reaction with ammonium formate in aqueous NH4OH. 2) The amino derivative (VII) can be converted directly into the final product by reaction with amidinosulfonic acid (X), NaOH and K2CO3 in water. 3) The amino derivative (VII) can also be converted directly into the final product by reaction with pyrazole-1-carboxamidine (XI) and triethylamine in water.

参考文献No.26553
标题:Derivs. and analogues of 2-deoxy-2,3-didehydro-N-acetyl neuraminic acid and their use as antiviral agents
作者:Von Itzstein, L.M.; Wu, W.-Y.; Phan, T.; Danylec, B.
来源:EP 0786458; WO 9116320
合成路线图解说明:

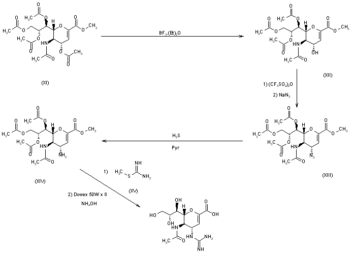
4) The selective deacetylation of 4-O,5-N,7-O,8-O,9-O-pentaacetyl-2,3-didehydro-2-deoxyneuraminic acid (XI) with boron trifluoride ethearate in benzene/methanol gives the 4-deacetyl derivative (XII), which is treated with trifluoromethanesulfonic anhydride in dichloromethane and with sodium azide in DMF to obtain the 4-azido-4-deoxy derivative (XIII). The reduction of (XIII) with H2S in pyridine affords the corresponding 4-amino derivative (XIV), which is finally condensed with S-methylisothiourea in water and saponified through Dowex 50W x 8 in aqueous NH4OH.

参考文献No.29666
标题:Synthesis of N-acetyl neuraminic acid derivs
作者:Patel, V. (Glaxo Wellcome plc)
来源:WO 9407886
合成路线图解说明:

1) The esterification of N-acetylneuraminic acid (I) with methanol/HCl gives the corresponding methyl ester (II), which is acetylated with acetic anhydride, pyridine and dimethylaminopyridine (DMAP) yielding the pentaacetate (III). The reaction of (III) with trimethylsilyl trifluoromethanesulfonate in ethyl acetate affords the 2,3-didehydro derivative (IV), which is treated with trimethylsilyl azide in butanol to give the 4-azido derivative (V). The selective deacetylation of (V) with sodium methoxide in methanol yields N-acetyl-4-azido-2,4-dideoxy-2,3-didehydroneuraminic acid methyl ester (VI), which is reduced with H2 over Lindlar catalyst (Pd-Pb) in water and treated with Dowex 8x2 resin to afford the N-acetyl-4-amino-2,4-dideoxy-2,3-didehydroneuraminic acid (VII). The reaction of (VII) with BrCN and sodium acetate in methanol gives the corresponding 4-cyanoamino derivative (VIII), which is converted into the final product by reaction with ammonium formate in aqueous NH4OH. 2) The amino derivative (VII) can be converted directly into the final product by reaction with amidinosulfonic acid (X), NaOH and K2CO3 in water. 3) The amino derivative (VII) can also be converted directly into the final product by reaction with pyrazole-1-carboxamidine (XI) and triethylamine in water.

参考文献No.29667
标题:Preparation of N-acetyl neuraminic derivs
作者:Chandler, M.; Weir, N. (Glaxo Wellcome plc)
来源:WO 9312105
合成路线图解说明:

1) The esterification of N-acetylneuraminic acid (I) with methanol/HCl gives the corresponding methyl ester (II), which is acetylated with acetic anhydride, pyridine and dimethylaminopyridine (DMAP) yielding the pentaacetate (III). The reaction of (III) with trimethylsilyl trifluoromethanesulfonate in ethyl acetate affords the 2,3-didehydro derivative (IV), which is treated with trimethylsilyl azide in butanol to give the 4-azido derivative (V). The selective deacetylation of (V) with sodium methoxide in methanol yields N-acetyl-4-azido-2,4-dideoxy-2,3-didehydroneuraminic acid methyl ester (VI), which is reduced with H2 over Lindlar catalyst (Pd-Pb) in water and treated with Dowex 8x2 resin to afford the N-acetyl-4-amino-2,4-dideoxy-2,3-didehydroneuraminic acid (VII). The reaction of (VII) with BrCN and sodium acetate in methanol gives the corresponding 4-cyanoamino derivative (VIII), which is converted into the final product by reaction with ammonium formate in aqueous NH4OH. 2) The amino derivative (VII) can be converted directly into the final product by reaction with amidinosulfonic acid (X), NaOH and K2CO3 in water. 3) The amino derivative (VII) can also be converted directly into the final product by reaction with pyrazole-1-carboxamidine (XI) and triethylamine in water.

参考文献No.297208
标题:The synthesis of 2,3-didehydro-2,4-dideoxy-4-guanidinyl-N-acetylneuraminic acid: A potent influenza virus sialidase inhibitor
作者:von Itzstein, M.; Wu, W.-Y.; Jin, B.
来源:Carbohydr Res 1994,259(2),301-5
合成路线图解说明:

1) The esterification of N-acetylneuraminic acid (I) with methanol/HCl gives the corresponding methyl ester (II), which is acetylated with acetic anhydride, pyridine and dimethylaminopyridine (DMAP) yielding the pentaacetate (III). The reaction of (III) with trimethylsilyl trifluoromethanesulfonate in ethyl acetate affords the 2,3-didehydro derivative (IV), which is treated with trimethylsilyl azide in butanol to give the 4-azido derivative (V). The selective deacetylation of (V) with sodium methoxide in methanol yields N-acetyl-4-azido-2,4-dideoxy-2,3-didehydroneuraminic acid methyl ester (VI), which is reduced with H2 over Lindlar catalyst (Pd-Pb) in water and treated with Dowex 8x2 resin to afford the N-acetyl-4-amino-2,4-dideoxy-2,3-didehydroneuraminic acid (VII). The reaction of (VII) with BrCN and sodium acetate in methanol gives the corresponding 4-cyanoamino derivative (VIII), which is converted into the final product by reaction with ammonium formate in aqueous NH4OH. 2) The amino derivative (VII) can be converted directly into the final product by reaction with amidinosulfonic acid (X), NaOH and K2CO3 in water. 3) The amino derivative (VII) can also be converted directly into the final product by reaction with pyrazole-1-carboxamidine (XI) and triethylamine in water.

参考文献No.316185
标题:Synthesis of the potent influenza neuraminidase inhibitor 4-guanidino Neu5Ac2en. X-Ray molecular structure of 5-acetamido-4-amino-2,6-anhydro-3,4,5-trideoxy-D-erythro-L-gluco-nononic acid
作者:Chandler, M.; Bamford, M.J.; Conroy, R.; et al.
来源:J Chem Soc - Perkins Trans I 1995,9(7),1173-80
合成路线图解说明:

1) The esterification of N-acetylneuraminic acid (I) with methanol/HCl gives the corresponding methyl ester (II), which is acetylated with acetic anhydride, pyridine and dimethylaminopyridine (DMAP) yielding the pentaacetate (III). The reaction of (III) with trimethylsilyl trifluoromethanesulfonate in ethyl acetate affords the 2,3-didehydro derivative (IV), which is treated with trimethylsilyl azide in butanol to give the 4-azido derivative (V). The selective deacetylation of (V) with sodium methoxide in methanol yields N-acetyl-4-azido-2,4-dideoxy-2,3-didehydroneuraminic acid methyl ester (VI), which is reduced with H2 over Lindlar catalyst (Pd-Pb) in water and treated with Dowex 8x2 resin to afford the N-acetyl-4-amino-2,4-dideoxy-2,3-didehydroneuraminic acid (VII). The reaction of (VII) with BrCN and sodium acetate in methanol gives the corresponding 4-cyanoamino derivative (VIII), which is converted into the final product by reaction with ammonium formate in aqueous NH4OH. 2) The amino derivative (VII) can be converted directly into the final product by reaction with amidinosulfonic acid (X), NaOH and K2CO3 in water. 3) The amino derivative (VII) can also be converted directly into the final product by reaction with pyrazole-1-carboxamidine (XI) and triethylamine in water.

参考文献No.350760
标题:Zanamivir
作者:Fromtling, R.; Casta馿r, J.
来源:Drugs Fut 1996,21(4),375
合成路线图解说明:

1) The esterification of N-acetylneuraminic acid (I) with methanol/HCl gives the corresponding methyl ester (II), which is acetylated with acetic anhydride, pyridine and dimethylaminopyridine (DMAP) yielding the pentaacetate (III). The reaction of (III) with trimethylsilyl trifluoromethanesulfonate in ethyl acetate affords the 2,3-didehydro derivative (IV), which is treated with trimethylsilyl azide in butanol to give the 4-azido derivative (V). The selective deacetylation of (V) with sodium methoxide in methanol yields N-acetyl-4-azido-2,4-dideoxy-2,3-didehydroneuraminic acid methyl ester (VI), which is reduced with H2 over Lindlar catalyst (Pd-Pb) in water and treated with Dowex 8x2 resin to afford the N-acetyl-4-amino-2,4-dideoxy-2,3-didehydroneuraminic acid (VII). The reaction of (VII) with BrCN and sodium acetate in methanol gives the corresponding 4-cyanoamino derivative (VIII), which is converted into the final product by reaction with ammonium formate in aqueous NH4OH. 2) The amino derivative (VII) can be converted directly into the final product by reaction with amidinosulfonic acid (X), NaOH and K2CO3 in water. 3) The amino derivative (VII) can also be converted directly into the final product by reaction with pyrazole-1-carboxamidine (XI) and triethylamine in water.

参考文献No.370803
标题:Synthesis of 5-acetylamino-4-[C-11]guanidino-2,6-anhydro-3,4,5-trideoxy-D-glycero-D-galacto-non-2-enoic acid ([C-11]GG167) - An influenza virus neuraminidase inhibitor
作者:Sutherland, D.R.; Westerberg, G.; Bamford, M.; Langstrom, B.; Daniel, M.J.
来源:J Label Compd Radiopharm 1996,38(6),585
合成路线图解说明:

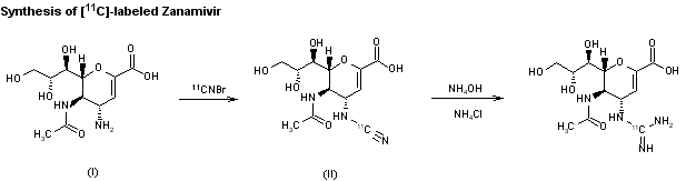
The synthesis of [11C]-labeled zanamivir useful in PET studies of drug deposition has been reported: The reaction of the known amino acid GR-121158X (I) with [11C]-cyanogen bromide in 0.1 M sodium borate gives the cyanoamino derivative (II), which is finally treated with a hot solution of NH4Cl and NH4OH in water.

Drug Information Express,Drug R&D,Chemical Database,Patent Search.
Copyright © 2006-2026 Drug Future. All rights reserved.Contact Us