【药物名称】Aminolevulinic acid hydrochloride, delta-Aminolevulinic acid hydrochloride, ALA-PDT, ALA HCl, Levulan Kerastick, Levulan
化学结构式(Chemical Structure):
参考文献No.57490
标题:Method of producing delta-aminolevulinic acid hydrochloride
作者:Aronova, N.I.; Makhova, N.N.; Zavyalov, S.I.; Volkenshtein, J.B.; Kunitskaya, G.M.
来源:US 3846490
合成路线图解说明:

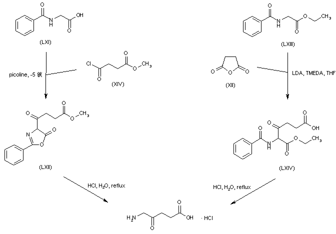
The acylation of hippuric acid (LXI) with methyl succinyl chloride (XIV) in cold 4-picoline gave rise to the acyl oxazolinone (LXII). Subsequent acidic hydrolysis of (LXII) provided delta-aminolevulinic acid. In a related strategy, the lithio-dianion of ethyl hippurate (LXIII) was acylated with succinic anhydride (XII) producing the 2-amino-3-oxoadipic acid derivative (LXIV). Further hydrolysis and decarboxylation of (LXIV) under acidic conditions furnished the target compound.

参考文献No.57491
标题:Method of preparing an acid additional salt of delta-aminolevulinic acid
作者:Matsumoto, K.; Kawakami, H.; Koseki, K.; Ebata, T.; Matsushita, H. (Japan Tobacco Inc.)
来源:US 5284973
合成路线图解说明:

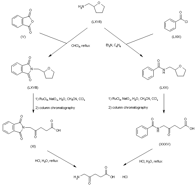
Tetrahydrofurfurylamine (XLVII) was converted into the corresponding phthalimide (XLVIII) by reaction of phthalic anhydride (V) in boiling chloroform. Subsequent ruthenium-catalyzed oxidation of (XLVIII) produced keto acid (XI), along with a pentanolide by-product, which was removed by column chromatography. Finally, acid hydrolysis of (XI) led to the desired compound. A closely related strategy was based in the ruthenium oxidation of N-benzoyl tetrahydrofurfurylamine (LXX), prepared from amine (XLVII) and benzoyl chloride (XLIX), to afford 5-benzoylaminolevulinic acid (XXXV), which was then hydrolyzed in boiling 6 N HCl .

参考文献No.57492
标题:Process for preparing 5-aminolevulinic acid
作者:Shimizu, T.; Takeya, H.; Ueki, H.
来源:US 5380935
合成路线图解说明:

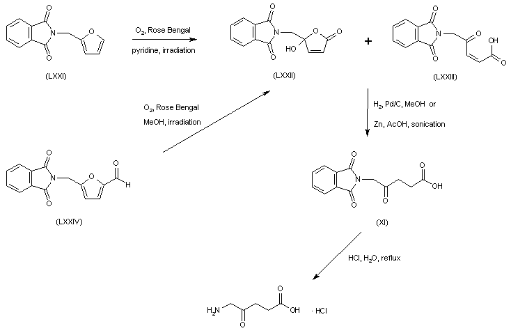
A related method was based on the oxidation of N-furfuryl phthalimide (LXXI) under irradiation by light in the presence of oxigen gas and a sensitizer, such as Rose Bengal, to afford the 2,5-dihydrofuranone (LXXII) along with its ring-opened isomer (LXXIII). Subsequent catalytic hydrogenation provided phthalimidolevulinic acid (XI), which was then subjected to acidic hydrolysis. Butenolide (LXXII) was also obtained by the photooxygenation of 5-phthalimidomethyl)furfural (LXXIV). Reduction of (LXXII) to phthalimidolevulinic acid (XI) was accomplished using zinc dust in HOAc under sonication.

参考文献No.57493
标题:Synthesis of an acid addition salt of delta-aminolevulinic acid from 5-bromo levulinic acid esters
作者:Moens, L.
来源:US 5907058
合成路线图解说明:

In a variation of the earlier methods, methyl 5-bromolevulinate (XLIII) was prepared by bromination of levulinic acid (XLII) in methanol. Reaction of bromo ketone (XLIII) with NaN3 in cold DMF provided azide (LXXV). Simultaneous azide reduction and methyl ester hydrolysis was then accomplished by catalytic hydrogenation in the presence of HCl. A further related method consisted in the alkylation of sodium diformylamide (LXXVI) with methyl 5-bromolevulinate (XLIII) in several different solvents to afford the N,N-diformylamino ester (LXXVII), which was finally hydrolyzed under acidic conditions.

参考文献No.657195
标题:Synthesis of delta-aminolevulinic acid
作者:Moens, L.
来源:ACS Symp Ser 2001,78437
合成路线图解说明:

In a variation of the earlier methods, methyl 5-bromolevulinate (XLIII) was prepared by bromination of levulinic acid (XLII) in methanol. Reaction of bromo ketone (XLIII) with NaN3 in cold DMF provided azide (LXXV). Simultaneous azide reduction and methyl ester hydrolysis was then accomplished by catalytic hydrogenation in the presence of HCl. A further related method consisted in the alkylation of sodium diformylamide (LXXVI) with methyl 5-bromolevulinate (XLIII) in several different solvents to afford the N,N-diformylamino ester (LXXVII), which was finally hydrolyzed under acidic conditions.

参考文献No.657755
标题:Synthesis of 13C and 15N multilabeled 5-aminolevulinic acid
作者:Iida, K.; Kajiwara, M.
来源:J Label Compd Radiopharm 2002,45(2),139
合成路线图解说明:

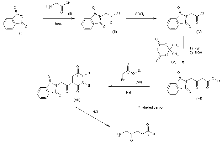
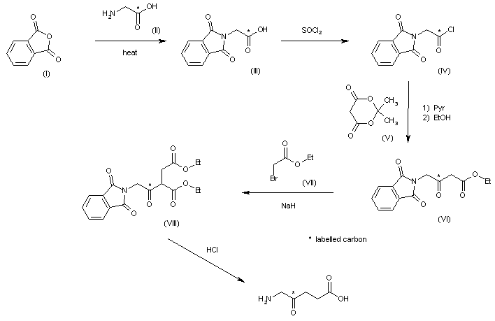
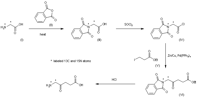
The condensation of the labeled glycine (I) with phthalic anhydride (II) by heating at 160 C gives the labeled phthalimido acetic acid (III), which is treated with refluxing SOCl2 to yield the acyl chloride (IV). The condensation of (IV) with 3-iodopropionic acid ethyl ester (V) by means of the Zn/Cu couple and Pd(PPh3)4 in hot toluene affords the labeled 5-phthalimido-levulinate (VI), which is finally treated with refluxing 6N HCl to provide the target labeled aminolevulinic acid.

参考文献No.696399
标题:The hydrogenation of oxaloacetone. A new synthesis of beta-thiolimidazolylpropionic acid
作者:Corwin, A.H.; Wynn, R.W.
来源:J Org Chem 1950,15203
合成路线图解说明:

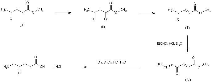
Methyl acetylacrylate (III) was obtained by bromination of methyl levulinate (I) followed by dehydrohalogenation of the resultant bromide (II). Isonitrosation of ketone (III) by means of ethyl nitrite in ethereal HCl produced the alpha-keto oxime (IV). Reduction of oxime (IV) and simultaneous ester hydrolysis by means of Sn/SnCl2 in concentrated HCl led to the target 5-aminolevulinic acid.

参考文献No.696400
标题:The synhtesis of delta-succinamidolaevulic acid and related compounds
作者:Neuberger, A.; Scott, J.J.
来源:J Chem Soc 1954,1820
合成路线图解说明:

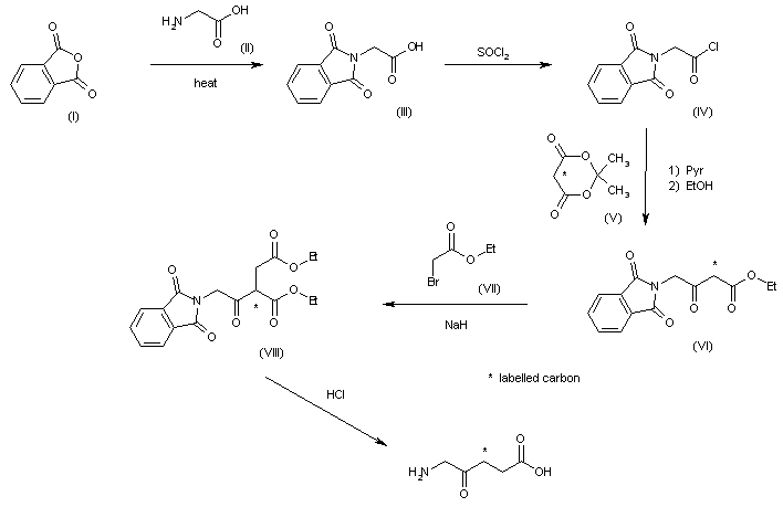
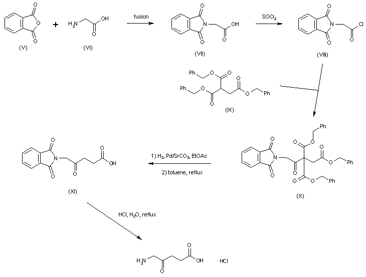
In a different method, N-phthaloylglycine (VII) was obtained by melting a mixture of phthalic anhydride (V) and glycine (VI). Subsequent chlorination of (VII) using SOCl2 provided acid chloride (VIII). Condensation of (VIII) with the sodium derivative of the tricarboxylate compound (IX) gave the keto triester (X). Hydrogenolysis of the benzyl ester groups of (X), followed by decarboxylation in refluxing toluene, gave rise to delta-phthalimidolevulinic acid (XI). This was finally hydrolyzed to the title compound upon refluxing with 7 N HCl.

合成路线图解说明:

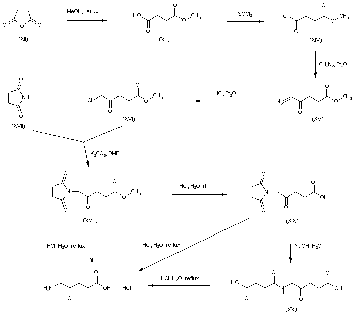
Alternatively, the mono-methyl ester of succinic acid (XIII) was prepared by refluxing succinic anhydride (XII) with MeOH. Subsequent treatment of (XIII) with SOCl2 gave acid chloride (XIV). This was condensed with diazomethane to produce the diazo ketone (XV), which was further converted to the chloro ketone (XVI) by treatment with HCl. Condensation of chlorolevulinate (XVI) with succinimide (XVII) produced methyl delta-succinimidolevulinate (XVIII). Smooth acidic hydrolysis of the methyl ester group of (XVIII) led to the succinimido acid (XIX), which was further hydrolyzed to the succinamido acid (XX) under basic conditions. The title compound could be obtained by hydrolysis of either (XVIII), (XIX) or (XX) in refluxing 7N HCl.

参考文献No.696401
标题:The synthesis of amino-acids from furfurylamine
作者:Raphael, R.A.; Marei, A.A.
来源:J Chem Soc 1958,2624
合成路线图解说明:

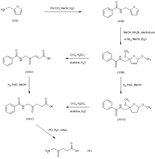
Benzoylation of furfurylamine (XXI) under Schotten-Baumann conditions provided amide (XXII). The dimethoxy dihydrofuran derivative (XXIII) was then obtained as different diastereomeric mixtures by either the electrolysis of N-benzoylfurfurylamine (XXII) in the presence of NH4Cl in MeOH or by the bromination of (XXII) in MeOH. Oxidative cleavage of (XXIII) using the Jones reagent led to 5-benzamido-4-oxo-2-pentenoic acid (XXIV), which was further hydrogenated to the pentanoic analogue (XXV). Alternatively, (XXV) was also obtained by first hydrogenation of (XXIII) to the tetrahydrofuran (XXVI), which was then subjected to Jones oxidation. Finally, acidic hydrolysis of delta-benzamido levulinic acid (XXV) provided the title compound.

参考文献No.696402
标题:Malonic ester synthesis of delta-aminolevulinic acid. The reaction of N-3-bromoacetonylphthalimide with malonic ester
作者:Collins, A.; Tschudy, D.P.
来源:J Org Chem 1959,24556
合成路线图解说明:

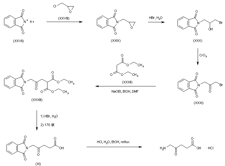
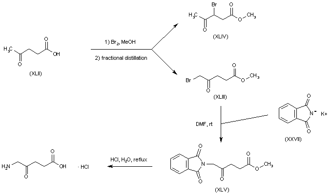
Alkylation of potassium phthalimide (XXVII) with epichlorohydrin (XXVIII) provided N-glycidyl phthalimide (XXIX). Epoxide ring opening in (XXIX) with aqueous HBr led to bromohydrin (XXX), which was further oxidized to bromo ketone (XXXI) by means of CrO3. Coupling of bromo ketone (XXXI) with diethyl malonate (XXXII) to afford (XXXIII) was accomplished in the presence of NaOEt in EtOH/DMF as the solvent. Acid hydrolysis of the malonate ester (XXXIII), followed by thermal decarboxylation, gave rise to phthalimido levulinic acid (XI). The phthaloyl group of (XI) was finally hydrolyzed under acidic conditions to furnish delta-aminolevulinic acid.

参考文献No.696403
标题:Synthesis of 5-aminolevulinic acid
作者:Benedikt, E.; K鰏t, H.-P.
来源:Z Naturforsch B Anorg Chem Org Chem 1986,41B(12),1593
合成路线图解说明:

In a related strategy, the bromination of levulinic acid (XLII) in MeOH yielded the 3-bromo (XLIV) and 5-bromo (XLIII) esters, which could be separated by distillation. Condensation of methyl 5-bromolevulinate (XLIII) with potassium phthalimide (XXVII) provided methyl phthalimido levulinate (XLV), which was finally hydrolyzed under the same conditions as above for analogous the ethyl ester.

参考文献No.696404
标题:Biosynthesis of porphyrins and related macrocycles. Part II: Synthesis of delta-amino[5-13C]laevulinic acid and [11-13C]porphobilinogen: Incorporation of the latter into protoporphyrin-IX
作者:Battersby, A.R.; et al.
来源:J Chem Soc - Perkins Trans I 1973,2917
合成路线图解说明:

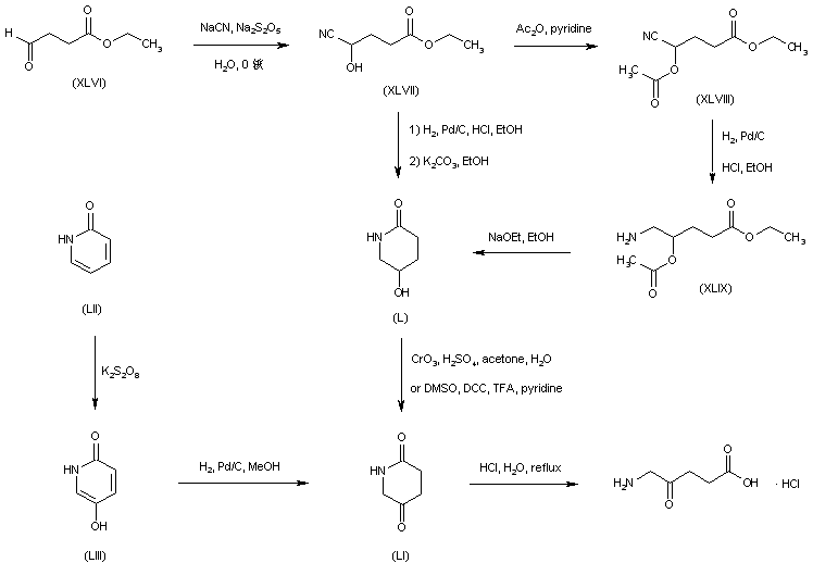
Ethyl 4-oxobutyrate (XLVI) was converted to the sulfite addition compound, which was then displaced by NaCN to afford cyanohydrin (XLVII). Acetylation of cyanohydrin (XLVII) provided the acetoxy nitrile (XLVIII), which was further hydrogenated to the amino diester (XLIX). Intramolecular cyclization of (XLIX) in ethanolic NaOEt led to the hydroxy lactam (L). Optionally, (L) could be obtained by hydrogenation of hydroxy nitrile (XLVII), followed by lactamization in the presence of K2CO3. Subsequent oxidation of hydroxypiperidinone (L) to 2,5-piperidinedione (LI) was carried either using the Jones reagent or under Swern conditions. Finally, acid hydrolysis of keto lactam (LI) gave rise to the title aminolevulinic acid. The preparation of 2,5-piperidinedione (LI) was also reported by a different method. Thus, catalytic hydrogenation of 5-hydroxy-2-pyridone (LIV), which had been obtained by Elbs oxidation of pyridone (LIII), furnished piperidinedione (LI).

参考文献No.696405
标题:A three-step synthesis of delta-aminolaevulinic acid
作者:Herdeis, C.; Dimmerling, A.
来源:Arch Pharm 1984,317304
合成路线图解说明:

Ethyl 4-oxobutyrate (XLVI) was converted to the sulfite addition compound, which was then displaced by NaCN to afford cyanohydrin (XLVII). Acetylation of cyanohydrin (XLVII) provided the acetoxy nitrile (XLVIII), which was further hydrogenated to the amino diester (XLIX). Intramolecular cyclization of (XLIX) in ethanolic NaOEt led to the hydroxy lactam (L). Optionally, (L) could be obtained by hydrogenation of hydroxy nitrile (XLVII), followed by lactamization in the presence of K2CO3. Subsequent oxidation of hydroxypiperidinone (L) to 2,5-piperidinedione (LI) was carried either using the Jones reagent or under Swern conditions. Finally, acid hydrolysis of keto lactam (LI) gave rise to the title aminolevulinic acid. The preparation of 2,5-piperidinedione (LI) was also reported by a different method. Thus, catalytic hydrogenation of 5-hydroxy-2-pyridone (LIV), which had been obtained by Elbs oxidation of pyridone (LIII), furnished piperidinedione (LI).

参考文献No.696406
标题:A convenient method for introducing oxo group into the beta-position of cyclic amines and its application to synthesis of delta-aminolevulinic acid
作者:Matsumura, Y.; et al.
来源:Bull Chem Soc Jpn 1994,67(1),304
合成路线图解说明:

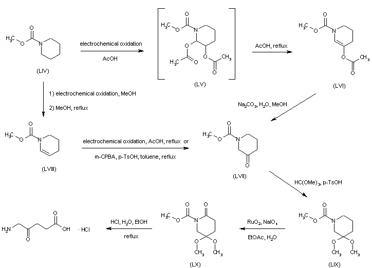
In a different preparation of the protected piperidinedione (LX), electrochemical oxidation of N-(methoxycarbonyl)piperidine (LIV) in HOAc produced the diacetoxy intermediate (LV) which on further refluxing in HOAc generated the acetoxy tetrahydropyridine (LVI). Smooth hydrolysis of the enol ester (LVI) provided the 3-piperidinone (LVII). In a related method, piperidine (LIV) was subjected to electrochemical oxidation in MeOH leading to tetrahydropyridine (LVIII), which was further converted to piperidinone (LVII) by either chemical or electrochemical oxidation. Ketone (LVII) was protected as the dimethyl ketal, (LIX) and its piperidine ring was then oxidized to lactam (LX) by means of RuO2 in the presence of NaIO4. The protected piperidinedione (LX) was finally hydrolyzed to the title compound in refluxing 7 M HCl.

参考文献No.696407
标题:A simple route to alpha-aminoketones and related derivatives by dianion acylation reactions; an improved preparation of delta-aminolevulinic acid
作者:Sidebottom, P.J.; Evans, D.A.
来源:J Chem Soc Chem Commun 1978,753
合成路线图解说明:

The acylation of hippuric acid (LXI) with methyl succinyl chloride (XIV) in cold 4-picoline gave rise to the acyl oxazolinone (LXII). Subsequent acidic hydrolysis of (LXII) provided delta-aminolevulinic acid. In a related strategy, the lithio-dianion of ethyl hippurate (LXIII) was acylated with succinic anhydride (XII) producing the 2-amino-3-oxoadipic acid derivative (LXIV). Further hydrolysis and decarboxylation of (LXIV) under acidic conditions furnished the target compound.

参考文献No.696408
标题:Synthesis of alpha-aminoketones via selective reduction of acyl cyanides
作者:Anwar, S.; Pfaltz, A.
来源:Tetrahedron Lett 1984,25(28),2977
合成路线图解说明:

Methoxy succinyl cyanide (LXV) was prepared by acylation of cuprous cyanide with methoxy succinyl chloride (XIV). Reduction of the acyl cyanide (XIV) by means of zinc dust in the presence of Ac2O produced the acetylamino ketone (LXVI). Subsequent hydrolysis of (LXVI) in aqueous HCl afforded the target aminoacid.

参考文献No.696409
标题:A new synthesis of 5-aminolevulinic acid
作者:Kawakami, H.; et al.
来源:Agric Biol Chem 1991,55(6),1687
合成路线图解说明:

Tetrahydrofurfurylamine (XLVII) was converted into the corresponding phthalimide (XLVIII) by reaction of phthalic anhydride (V) in boiling chloroform. Subsequent ruthenium-catalyzed oxidation of (XLVIII) produced keto acid (XI), along with a pentanolide by-product, which was removed by column chromatography. Finally, acid hydrolysis of (XI) led to the desired compound. A closely related strategy was based in the ruthenium oxidation of N-benzoyl tetrahydrofurfurylamine (LXX), prepared from amine (XLVII) and benzoyl chloride (XLIX), to afford 5-benzoylaminolevulinic acid (XXXV), which was then hydrolyzed in boiling 6 N HCl .

参考文献No.696410
标题:Syntheses of gamma-oxo acids or gamma-oxo esters by photooxygenation of furanic compounds and reduction under ultrasound: Application to the synthesis of 5-aminolevulinic acid hydrochloride
作者:Cottier, L.; et al.
来源:Synthesis (Stuttgart) 1995,(3),303
合成路线图解说明:

A related method was based on the oxidation of N-furfuryl phthalimide (LXXI) under irradiation by light in the presence of oxigen gas and a sensitizer, such as Rose Bengal, to afford the 2,5-dihydrofuranone (LXXII) along with its ring-opened isomer (LXXIII). Subsequent catalytic hydrogenation provided phthalimidolevulinic acid (XI), which was then subjected to acidic hydrolysis. Butenolide (LXXII) was also obtained by the photooxygenation of 5-phthalimidomethyl)furfural (LXXIV). Reduction of (LXXII) to phthalimidolevulinic acid (XI) was accomplished using zinc dust in HOAc under sonication.

参考文献No.696411
标题:Selective bromination of ketones. A convenient synthesis of 5-aminolevulinic acid
作者:Ha, H.-J.; et al.
来源:Synth Commun 1994,24(18),2557
合成路线图解说明:

In a variation of the earlier methods, methyl 5-bromolevulinate (XLIII) was prepared by bromination of levulinic acid (XLII) in methanol. Reaction of bromo ketone (XLIII) with NaN3 in cold DMF provided azide (LXXV). Simultaneous azide reduction and methyl ester hydrolysis was then accomplished by catalytic hydrogenation in the presence of HCl. A further related method consisted in the alkylation of sodium diformylamide (LXXVI) with methyl 5-bromolevulinate (XLIII) in several different solvents to afford the N,N-diformylamino ester (LXXVII), which was finally hydrolyzed under acidic conditions.

参考文献No.696412
标题:Synthesis of analogues of 5-aminolaevulinic acid and inhibition of 5-aminolaevulinic acid dehydratase
作者:Appleton, D.; et al.
来源:J Chem Soc - Perkins Trans I 1998,89
合成路线图解说明:

Iodolactonization of 4-pentenoic acid (LXXX) provided (LXXXI), which was converted to azido lactone (LXXXII) by treatment with NaN3 in DMF. Reduction of the azido group was performed by stirring (LXXXII) with a suspension of Raney nickel in H2O/Et2O. Oxidation of the resulting (LXXXIII) by means of Jones reagent, followed by sulfate-chloride exchange, furnished aminolevulinic acid hydrochloride.

参考文献No.696413
标题:An efficient synthesis of delta-aminolevulinic acid (ALA) and its isotopomers
作者:Wang, J.; Scott, A.I.
来源:Tetrahedron Lett 1997,38(5),739
合成路线图解说明:

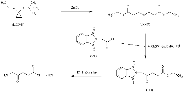
The organozinc reagent (LXXIX) was prepared by treatment of [(1-ethoxycyclopropyl)oxy]trimethylsilane (LXXVIII) with ZnCl2. Palladium-catalyzed coupling of (LXXIX) to phthalimidoacetyl chloride (VIII) furnished ethyl phthalimodolevulinate (XLI), which was finally hydrolyzed as in precedent methods.

参考文献No.698236
标题:New route to delta-aminolevulinic and application to the synthesis of its alpha- and beta-methylated derivatives
作者:Lartillot, S.; Baron, C.
来源:Bull Soc Chim France 1966,(12),3798
合成路线图解说明:

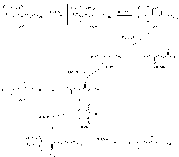
The bromination of ethyl acetylsuccinate (XXXIV) produced initially the beta-bromo derivative (XXXV), which upon standing for further 12 hours in the presence of the HBr generated in the reaction underwent rearrangement to the delta-bromo isomer (XXXVI). Hydrolysis and decarboxylation of (XXXVI) in the presence of HCl produced the expected delta-bromolevulinic acid (XXXVII) along with the chloro analogue (XXXVIII). Esterification of this mixture of acids with ethanol and sulfuric acid led to the respective ethyl esters (XXXIX) and (XL). Condensation of halo esters (XXXIX) and (XL) with potassium phthalimide (XXVII) furnished ethyl delta-phthalimidolevulinate (XLI), which was finally converted to the title compound by acidic hydrolysis.

参考文献No.731015
标题:Facile synthesis of delta-aminolevulinic acid (ALA) regioselectively labeled with 13C and direct observation of enzymatic transformation from ALA to porphobilinogen (PBG)
作者:Kurumaya, K.; Okazaki, T.; Seido, N.; Akasaka, Y.; Kawajiri, Y.; Kajiwara, M.; Kondo, M.
来源:J Label Compd Radiopharm 1989,27(2),217
合成路线图解说明:

The condensation of 3-(chloroformyl)propionic acid ethyl ester (I) with labeled CuCN (II) in refluxing acetonitrile gives 3-(cyanoformyl)propionic acid ethyl ester (III), which is reduced with Zn, AcOH and Ac2O to yield labeled 5-(acetamido)-4-oxopentanoic acid ethyl ester (IV). Finally, this compound is hyrolyzed by means of refluxing 6M HCl to afford the target labeled aminolevulinic acid.

合成路线图解说明:

The condensation of phthalic anhydride (I) with glycine (II) by heating at 160 C gives 2-phthalimidoacetic acid (III), which is treated with refluxing SOCl2 to yield the acetyl chloride (IV). The condensation of (IV) with Meldrum's acid (V) by means of pyridine in dichloromethane, followed by a treatment with refluxing ethanol, affords 4-phthalimidoaetoacetic acid ethyl ester (VI), which is condensed with 1-13C-labeled 2-bromoacetic acid ethyl ester (VII) by means of NaH in dimethoxyethane to provide labeled 2-(2-phthalimidoacetyl)succinic acid diethyl ester (VIII). Finally, this compound is treated with HCl in refluxing acetic acid to give the target labeled aminolevulinic acid.

合成路线图解说明:

The condensation of phthalic anhydride (I) with 1-13C-labeled glycine (II) by heating at 160 C gives 2-phthalimidoacetic acid (III), which is treated with refluxing SOCl2 to yield the acetyl chloride (IV). The condensation of (IV) with Meldrum's acid (V) by means of pyridine in dichloromethane, followed by a treatment with refluxing ethanol affords 4-phthalimidoaetoacetic acid ethyl ester (VI). This compound is condensed with 2-bromoacetic acid ethyl ester (VII) by means of NaH in dimethoxyethane to provide labeled 2-(2-phthalimidoacetyl)succinic acid diethyl ester (VIII). Finally, the compound is treated with HCl in refluxing acetic acid to give the target labeled aminolevulinic acid.

合成路线图解说明:

The condensation of phthalic anhydride (I) with glycine (II) by heating at 160 C gives 2-phthalimidoacetic acid (III), which is treated with refluxing SOCl2 to yield the acetyl chloride (IV). The condensation of (IV) with Meldrum's acid (V) by means of pyridine in dichloromethane, followed by a treatment with refluxing ethanol affords 4-phthalimidoaetoacetic acid ethyl ester (VI). This compound is condensed with 2-13C-labeled 2-bromoacetic acid ethyl ester (VII) by means of NaH in dimethoxyethane to provide labeled 2-(2-phthalimidoacetyl)succinic acid diethyl ester (VIII). Finally, this compound is treated with HCl in refluxing acetic acid to give the target labeled aminolevulinic acid.

合成路线图解说明:

The condensation of phthalic anhydride (I) with glycine (II) by heating at 160 C gives 2-phthalimidoacetic acid (III), which is treated with refluxing SOCl2 to yield the acetyl chloride (IV). The condensation of (IV) with 2-13C-labeled Meldrum's acid (V) by means of pyridine in dichloromethane, followed by a treatment with refluxing ethanol affords 4-phthalimidoaetoacetic acid ethyl ester (VI). This compound is condensed with 2-bromoacetic acid ethyl ester (VII) by means of NaH in dimethoxyethane to provide labeled 2-(2-phthalimidoacetyl)succinic acid diethyl ester (VIII). Finally, the ester is treated with HCl in refluxing acetic acid to give the target labeled aminolevulinic acid.

合成路线图解说明:

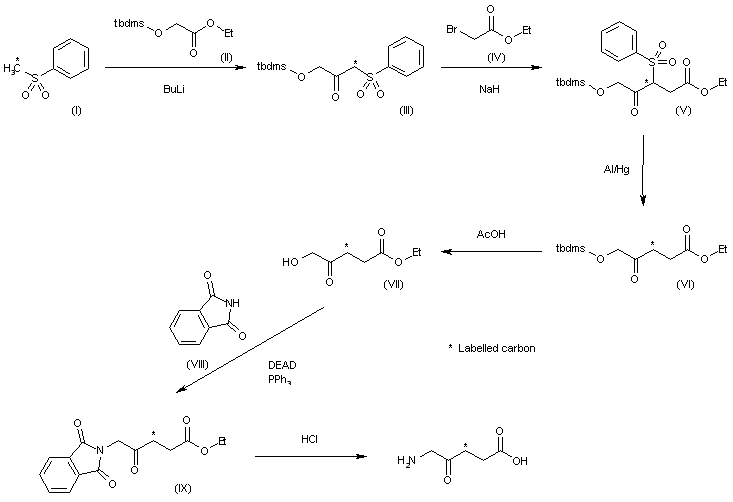
The condensation of 13C-labelled methyl phenyl sulfone (I) with 2-(tert-butyldimethylsilyloxy)acetic acid ethyl ester (II) by means of BuLi in THF gives the labelled propanone derivative (III), which is condensed with ethyl 2-bromoacetate (IV) by means of NaH in THF to yield the gamma-oxo ester (V). Desulfurization of (V) by means of Al/Hg in THF/water affords the silylated 5-hydroxy-4-oxopentanoic acid ethyl ester (VI), which is desilylated by means of AcOH in THF/water to provide the free hydroxyester (VII). The condensation of (VII) with phthalimide (VIII) by means of DEAD and PPh3 in toluene gives the phthalimido derivative (IX), which is finally treated with refluxing 6N HCl to provide the target labelled aminolevulinic acid.

Drug Information Express,Drug R&D,Chemical Database,Patent Search.
Copyright © 2006-2026 Drug Future. All rights reserved.Contact Us